
Effect of Financial Stress and Positive Financial Behaviors on Cost-Related Nonadherence to Health Regimens Among Adults in a Community-Based Setting
ORIGINAL RESEARCH — Volume 13 — April 7, 2016
Minal R. Patel, PhD, MPH; Daniel J. Kruger, PhD; Suzanne Cupal, MPH; Marc A. Zimmerman, PhD
Suggested citation for this article: Patel MR, Kruger DJ, Cupal S, Zimmerman MA. Effect of Financial Stress and Positive Financial Behaviors on Cost-Related Nonadherence to Health Regimens Among Adults in a Community-Based Setting. Prev Chronic Dis 2016;13:160005. DOI: http://dx.doi.org/10.5888/pcd13.160005.
PEER REVIEWED
PEER REVIEWED
Abstract
Introduction
Little is known about the role of positive financial behaviors (behaviors that allow maintenance of financial stability with financial resources) in mitigating cost-related nonadherence (CRN) to health regimens. This study examined the relationships between positive financial behaviors, financial stress, and CRN.
Methods
Data came from the 2011 Speak to Your Health! Community Survey (n = 1,234). Descriptive statistics were computed to examine financial stress and CRN, by chronic condition and health insurance status. We used multivariate logistic regression models to examine the relationship between positive financial behaviors and financial stress and their interaction on a composite score of CRN, controlling for health insurance status, educational level, age, marital status, number of chronic conditions, and employment status.
Results
Thirty percent of the sample engaged in CRN. Participants reported moderate financial stress (mean, 13.85; standard deviation [SD] = 6.97), and moderate positive financial behavior (mean, 8.84; SD = 3.24). Participants with employer-sponsored insurance, Medicaid, Medicare, the Genesee Health Plan, high blood pressure, asthma, and diabetes had the highest proportion of CRN. The relationship between financial stress and CRN was not significantly different between those who reported lower versus higher levels of positive financial behavior (P = .32). Greater financial stress was associated with a greater likelihood of CRN (odds ratio [OR] = 2.49; 95% confidence interval [CI], 2.08–2.99). Higher level of positive financial behavior was associated with a lower likelihood of CRN (OR = 0.80; 95% CI, 0.67–0.94).
Conclusion
Financial literacy as a means of promoting positive financial behavior may help reduce CRN. An intervention strategy focused on improving financial literacy may be relevant for high-risk groups who report high levels of financial stress.
Introduction
One of 4 Americans reports financial difficulty in paying medical bills (1); this difficulty has significant public health implications, especially for the 50% of the population that is managing chronic illness. Seven systematic reviews concluded that several factors influence adherence to treatment, but cost to the patient is one that demonstrates a consistent negative effect (2). Nearly 18% of chronically ill Americans report underusing medications and delaying or not fulfilling therapeutic recommendations because of cost (3), which is referred to as cost-related nonadherence (CRN) (3) and varies by therapeutic class across chronic therapies (3,4). Fifty-six percent of American adults with common chronic diseases self-report nonfulfillment of medication as a result of financial hardship (5).
Health insurance coverage is a strong predictor of financial burden (6,7). Nearly half of Americans have literacy challenges with health insurance and pay more for health care out of pocket because of these challenges, despite improvements as a result of the Affordable Care Act (ACA) (8).
Although health literacy and health insurance literacy are commonly discussed as integral for individuals to have the capacity to obtain, process, and understand basic health information or services and health insurance, financial literacy in the context of health has received little attention. Financial literacy is a set of skills and knowledge that allows individuals to make informed decisions with their financial resources (9), and it is associated with more frequent engagement in health-promoting behaviors (10–12). Studies show that social determinants of health that contribute to financial burden correlate with CRN (13,14). Therefore, financial burden may be experienced in the context of a growing concern for financial insecurity and may not be exclusively health-related. Given the role that cost to the patient plays in adherence to therapeutic regimens, improving financial literacy to influence positive financial behaviors (behaviors that allow individuals to maintain financial stability with their financial resources) may have implications for CRN, and may be a necessary adjunct to policy reforms.
Few interventions have aimed to mitigate CRN beyond reducing out-of-pocket costs, which have shown modest improvements in health status (15). Whether positive financial behavior is protective of CRN has not been explored and may have implications for behavioral interventions to promote financial literacy, especially among people who have chronic illnesses.
We examined financial stress and CRN by type of chronic condition and health insurance status in a community-dwelling sample in Michigan. We also examined the relationship between financial stress, positive financial behaviors, and CRN, testing the hypothesis that the relationship between financial stress and CRN is different between people who report lower numbers versus higher numbers of positive financial behaviors.
Methods
Study sample
Data came from the 2011 wave of the Speak to Your Health! Community Survey administered to residents of Genesee County, Michigan (16). Genesee County is among the most economically disadvantaged counties in Michigan (17). We collected data from October 2011 through March 2012. The survey’s purpose was to monitor and understand local health concerns to inform efforts to improve the health of Genesee County communities and was developed by the team through a community-based participatory research process (18). All study procedures were approved by the University of Michigan Institutional Review Board.
Random samples of households were drawn from 129 Genesee County residential census tracts in an attempt to include at least 20 residents from each tract in Flint, Michigan, and 10 residents in suburban and rural census tracts. Inclusion criteria included being at least aged 18 and a resident of Genesee County. More details on the Speak to Your Health! Survey are available elsewhere (16,18,19). From 9,944 telephone listings, 1,234 respondents provided complete data. Inability to contact participants because of telephone issues totaled 10.9% (n = 1,088) of all attempted records. The response rate was 25% (1,234 of 4,936). Telephone numbers that were not in service or were never answered after 10 attempts (not including answering machines) were not included in response rate calculations. The complete and analytic samples were similar in age, years of education, sex, and body mass index (data not shown). All participants provided informed consent before data collection. Professional survey staff conducted a 25-minute computer-aided telephone interview (CATI) with randomly selected respondents.
Measures
The outcome of interest in this study was CRN, a composite binary measure (yes/no) of a positive response to at least 1 of 2 items. The first item was not seeing a doctor because of cost, which was measured by asking participants, “Was there a time during the last 12 months when you needed to see a doctor, nurse, or other health professional but could not because of cost?” The second item was not filling a prescription because of cost, which was measured by asking participants, “Was there a time during the last 12 months when you needed to fill a prescription but could not because of cost?” (20).
Participants were asked a series of 9 questions to determine level of financial stress and use of positive financial behaviors. Items included whether participants set aside money from each pay period for savings, have trouble sleeping because of financial problems, are concerned because they cannot afford health insurance, and only spend what they can afford. All items were assessed on a 5-point Likert scale (1 being strongly disagree to 5 being strongly agree) (21,22).
To determine whether participants had any of 8 prevalent chronic conditions that require routine medical management (high blood pressure, heart disease, cancer, diabetes, asthma, sarcoidosis, sickle cell anemia, and lupus), participants were asked if they had ever been diagnosed by a doctor as having any of the conditions (yes/no). We developed this list on the basis of conditions with the highest overall health burdens and the interests of community-based organization partners. To assess the type of health insurance participants had, they were asked if they had a health insurance policy through the following mechanisms: employer-sponsored, nonemployer/private, Medicaid, Medicare, Genesee Health Plan, other, and no insurance coverage (yes/no) (20).
Analyses were conducted using SAS version 9.4 (SAS Institute, Inc). We used a principal-axis factor analysis with a varimax rotation for the 9 survey items related to finances to produce 2 orthogonal factors of interest (eg, financial stress and positive financial behaviors). Question items with factor loadings greater than 0.50 were included in a factor. Internal consistency was evaluated with the Cronbach α statistic for each of the final 2 orthogonal factors produced. Health-related financial stress and positive financial behavior items were both summed to create a score. The range of scores for financial stress was 1 to 30, with 1 indicating low stress and 30 indicating high stress. The range of scores for positive financial behaviors was 1 to 15, with 1 indicating low level of positive financial behaviors and 15 indicating high level of positive financial behaviors.
Descriptive statistics were computed for all demographic characteristics to examine the frequency of CRN and financial stress by chronic condition and type of health insurance. Multiple variable logistic regression analyses were used to examine the independent association between financial stress and positive financial behaviors (main independent variables) and CRN (dependent variable). Both of the variables for financial stress and positive financial behaviors were centered at the mean to standardize values and were included in the model as an interaction term to test the hypothesis that the relationship between financial stress and CRN is different between those who report lower levels of positive financial behaviors and those who report higher levels of positive financial behaviors. All models were adjusted for health insurance status, educational level, age, marital status, number of chronic conditions, and employment status.
Results
The mean age of the sample (N = 1,234) was 53.5 years (standard deviation [SD] = 15.2 y), 73% were female, 47% were married, and 70% reported their race/ethnicity as white ( Table 1). Ninety percent of the sample was employed, and 30% had an educational attainment of college or more. Nearly half of participants reported having employer-sponsored health insurance coverage and high blood pressure. Twenty percent of participants did not see a doctor, and 24% did not fill a prescription because of cost, resulting in a 30% prevalence of CRN.
Inter-item correlations among the 9 items that determined levels of financial stress and positive financial behaviors ranged from 0.07 to 0.83 ( Table 2). Financial stress had strong reliability (6 items; Cronbach α = 0.89), and positive financial behaviors had adequate reliability (3 items; Cronbach α = 0.63). Participants reported a mean financial stress score of 13.85 (SD = 6.97) indicating moderate financial stress, and a mean score of 8.84 (SD = 3.24) for positive financial behaviors, indicating moderate positive financial behaviors. Financial stress and positive financial behaviors were not significantly correlated (r = 0.31).
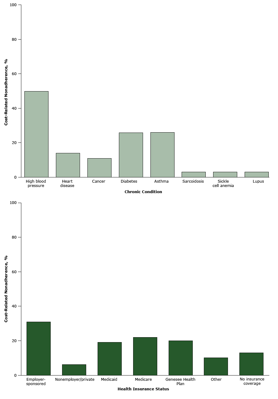
Figure 1 shows mean financial stress by number and type of chronic conditions and health insurance status. Moderate financial stress was evident among participants reporting diabetes, asthma, sarcoidosis, sickle cell anemia, lupus, 2 or more chronic conditions, coverage by the Genesee Health Plan, and no insurance coverage.

Figure 1. Mean level of financial stress, by chronic condition and health insurance status. Mean level of financial stress is a composite score based on 6 items; scores ranged from 1 to 30, with 1 indicating low levels of stress and 30 indicating levels of high stress. Speak to Your Health! Community Survey, 2011. [A tabular description of this figure is also available.]
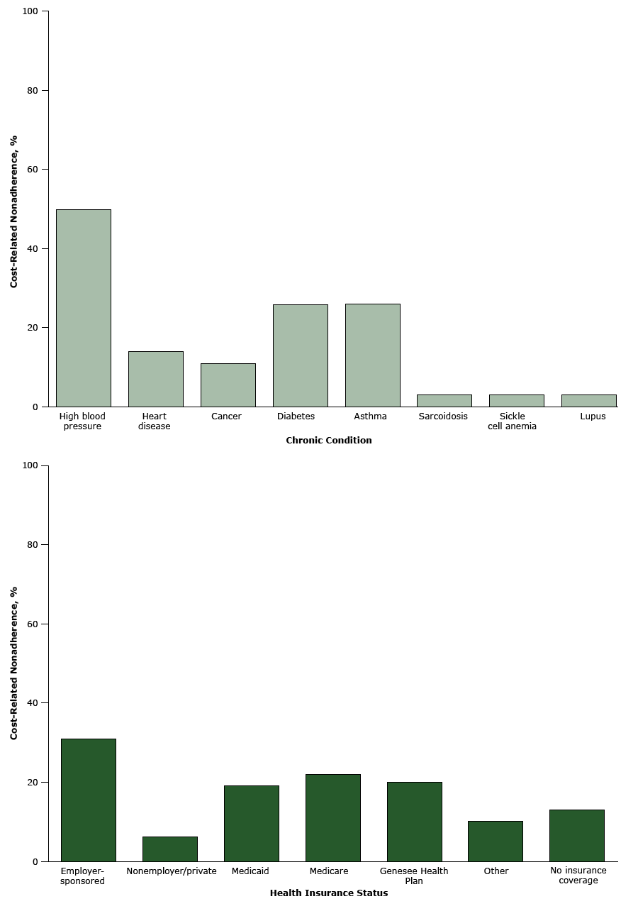
Figure 2 shows CRN by chronic condition and health insurance. The highest proportion of individuals who reported CRN were those who had employer-sponsored health insurance, Medicaid, Medicare, the Genesee Health Plan, high blood pressure, asthma, or diabetes.

Figure 2. Cost-related nonadherence behaviors, by chronic condition and health insurance status. Cost-related nonadherence is a composite binary measure of a positive response to 1 of 2 cost-cutting behaviors with the treatment regimen. Speak to Your Health! Community Survey, Michigan, 2011. [A tabular version of this figure is also available.]
Multiple variable logistic regression analyses indicated that the interaction of financial stress and positive financial behaviors was not significant (P = .32), so it was dropped from the final model. Greater financial stress was associated with a greater likelihood of CRN behavior (odds ratio [OR] = 2.49; 95% confidence interval [CI], 2.08–2.99). Higher levels of positive financial behavior were associated with a lower likelihood of CRN (OR = 0.80; 95% CI, 0.67–0.94) ( Table 3).
Discussion
Many factors motivate adherence to a therapeutic health regimen, and this analysis focused on the role of cost as a factor. To our knowledge, this is the first study to examine the association between positive financial behaviors and CRN. Positive financial behaviors were moderate in this study of community-dwelling adults in an economically disadvantaged county in Michigan. The relationship between financial stress and CRN was not significantly different between those who reported lower versus higher levels of positive financial behavior in our sample; therefore, our hypothesis was not supported. This relationship requires further investigation in other samples. We found, however, that regardless of health insurance, higher levels of positive financial behaviors were associated with a lower likelihood of CRN, suggesting that positive financial behaviors may influence CRN. Our findings show an association between behavioral practices related to finances that influence CRN, whereas other work has shown that higher levels of health and financial literacy can promote health through improved health care decision making and behavior (11,12).
Researchers that found effects of financial literacy on health and health care decision making investigated financial literacy through measures that assess comprehension of financial concepts and numeracy skills based on mathematical computation (10–12). In our study, we examined a set of behaviors for effective financial management in the interest of long-term financial well-being that include saving, spending within means, and paying off debt. Our findings expand our understanding of the influences of financial literacy on health by considering functional financial literacy and a set of skills and behaviors related to financial management that may also be protective against the negative consequences of health-related financial burdens on health behaviors. This is different from health literacy or health insurance literacy, which may encompass knowledge, behaviors, and self-efficacy around general or specific areas of health or health insurance.
Improving financial literacy as an intervention strategy as a means to promote positive financial behavior to prevent CRN may be especially relevant for certain high-risk groups. Although we found an association between financial stress and CRN regardless of health insurance status and number of chronic conditions, our descriptive findings and other work (3) suggest that attention to financial literacy may be relevant for certain conditions in which levels of both financial stress and CRN are high: high blood pressure, asthma, and diabetes. The adequate prevention of adverse events for high blood pressure, asthma, and diabetes through a medication regimen can have implications for the development of severe comorbidity and poor long-term health, as well as increased financial burden. We are not aware of any evidence-based self-management programs for any of these conditions that incorporate skills training in financial literacy to promote positive financial behaviors or have an emphasis on reducing cost-related barriers to prevent CRN. Although the chronic conditions included in this study may differ by typical cost of treatment, this variance my affect individuals in terms of perceived financial stress based on the type of health insurance they have and what services are covered in their plan.
Although individuals with employer-sponsored health insurance in our sample reported the lowest levels of financial stress, rates of CRN were similar for those with local insurance options for low-income families (Genesee Health Plan) and those with no insurance, both of whom reported high levels of financial stress. Between 2007 and 2010, per-person out-of-pocket spending grew most rapidly for people primarily covered by employer-sponsored insurance because of a greater shift to high-deductible plan offerings by employers (23), which may encourage CRN. To date, no significant changes as a result of the ACA have been noted on consumer behavior among those with employer-sponsored insurance (24), suggesting that strategies to improve financial literacy may also be relevant for this group to prevent CRN.
Our study has several limitations. This was a secondary analysis of available survey data. Lack of household income data limited our interpretation of results to perceived financial burden. Median household income in Genesee County is $42,089, which is lower than state and national averages, suggesting economic burden in the region (25). Items used to generate constructs of financial stress and positive financial behaviors were based on available data. The items used may not capture all aspects of either construct, which may increase their content validity. Nevertheless, the measures have adequate reliability and capture key aspects of the construct, and the results were in the hypothesized direction. Adherence is also influenced by factors beyond cost; however, we did not have measures in our survey to examine other factors that influence adherence. We also did not have access to data to verify the CRN reported in this study against pharmacy claims or medical records, which would strengthen confidence in self-reported data. However, the rates of CRN reported in this study align with national averages and those reported elsewhere (3,5,7), so the self-reported nature of the data was not a major concern for our confidence in the results. Another limitation was that participants were from one economically disadvantaged county in Michigan. Furthermore, women and older adults were overrepresented in the sample; as a result, findings may not be generalizable nationally or to Michigan as a whole, but they may be generalizable to other economically disadvantaged communities. Future work that considers replicating these analyses with nationally representative data would be useful. Finally, the data for the study were collected when the ACA was first passed. Rates of the provision and type of health insurance may have shifted since the enactment of ACA reforms in the region. However, the Genesee Health Plan was available before the ACA to provide basic health insurance for uninsured, low-income adults (26); therefore, the differences in the rate of the insured versus uninsured before and after the ACA may not differ. Although we did not have information for types of health insurance, our results reflect current trends of financial stress based on cost sharing that are consistent with the data reported here.
Despite these limitations, this study has implications for behavioral interventions. Policy interventions may intend to reduce financial stress from medical bills, but they do not provide the requisite skills for individuals and families to understand and therefore effectively manage the financial elements of their health care. Literacy and numeracy may have significant influence on how people choose cost-effective health plans and manage out-of-pocket expenses. These skills may be especially salient for those who manage chronic diseases, which require lifetime management with a therapeutic regimen and routine interface with the health care system. Building health literacy around the importance of adherence is imperative. Because financial literacy may protect against CRN, behavioral interventions for chronic diseases that teach and facilitate self-management skills may also consider skills training in health-related financial literacy. This may be a vital direction for intervention design, because financial stress was predictive of CRN despite health insurance status and number of chronic conditions. Improving financial literacy to promote positive financial behavior may be relevant for certain high-risk groups who report high levels of financial stress, such as those managing high blood pressure, asthma, or diabetes, or who have health insurance plans with high or variable cost sharing.
Acknowledgments
We thank the Michigan Prevention Research Center Survey Committee members and those who participated in the project for their assistance. The Speak To Your Health! Community Survey was supported by the Michigan Prevention Research Center (Centers for Disease Control and Prevention grant no. 1-U48-DP-001901), the Michigan Youth Violence Prevention Center (Centers for Disease Control and Prevention grant no. 5U01CE001957-02), and the Crim Foundation.
Author Information
Corresponding Author: Minal R. Patel, PhD, MPH, Department of Health Behavior and Health Education, University of Michigan School of Public Health, 1415 Washington Heights, Ann Arbor, MI 48109-2029. Telephone: 734-763-0087. Email: minalrp@umich.edu.
Author Affiliations: Daniel J. Kruger, Marc A. Zimmerman, Department of Health Behavior and Health Education, University of Michigan School of Public Health, Ann Arbor, Michigan; Suzanne Cupal, Genesee County Health Department, Flint, Michigan.
References
- Cohen RA, Kirzinger WK. Financial burden of medical care: a family perspective. NCHS Data Brief 2014;(142):1–8. PubMed
- Mathes T, Jaschinski T, Pieper D. Adherence influencing factors — a systematic review of systematic reviews. Arch Public Health 2014;72(1):37. CrossRef PubMed
- Piette JD, Heisler M, Wagner TH. Cost-related medication underuse among chronically ill adults: the treatments people forgo, how often, and who is at risk. Am J Public Health 2004;94(10):1782–7. CrossRef PubMed
- Yeaw J, Benner JS, Walt JG, Sian S, Smith DB. Comparing adherence and persistence across 6 chronic medication classes. J Manag Care Pharm 2009;15(9):728–40. PubMed
- McHorney CA, Spain CV. Frequency of and reasons for medication non-fulfillment and non-persistence among American adults with chronic disease in 2008. Health Expect 2011;14(3):307–20. CrossRef PubMed
- Patel MR, Caldwell CH, Song PX, Wheeler JR. Patient perceptions of asthma-related financial burden: public vs. private health insurance in the United States. Ann Allergy Asthma Immunol 2014;113(4):398–403. CrossRef PubMed
- Piette JD, Wagner TH, Potter MB, Schillinger D. Health insurance status, cost-related medication underuse, and outcomes among diabetes patients in three systems of care. Med Care 2004;42(2):102–9. CrossRef PubMed
- Levitt L. Why health insurance literacy matters. JAMA 2015;313(6):555–6. CrossRef PubMed
- Han SD, Boyle PA, James BD, Yu L, Bennett DA. Poorer financial and health literacy among community-dwelling older adults with mild cognitive impairment. J Aging Health 2015;27(6):1105–17. CrossRef PubMed
- Bauhoff S, Carman K, Wuppermann A. Low-income consumer’s lack of financial literacy could impede use of ACA coverage subsidies. Health Aff Blog; 2013 http://healthaffairs.org/blog/2013/09/26/low-income-consumers-lack-of-financial-literacy-could-impede-use-of-aca-coverage-subsidies/. Accessed May 1, 2015.
- James BD, Boyle PA, Bennett JS, Bennett DA. The impact of health and financial literacy on decision making in community-based older adults. Gerontology 2012;58(6):531–9. CrossRef PubMed
- Bennett JS, Boyle PA, James BD, Bennett DA. Correlates of health and financial literacy in older adults without dementia. BMC Geriatr 2012;12(1):30. CrossRef PubMed
- Smalls BL, Gregory CM, Zoller JS, Egede LE. Assessing the relationship between neighborhood factors and diabetes related health outcomes and self-care behaviors. BMC Health Serv Res 2015;15(1):445. CrossRef PubMed
- Berkowitz SA, Seligman HK, Choudhry NK. Treat or eat: food insecurity, cost-related medication underuse, and unmet needs. Am J Med 2014;127(4):303–310.e3. CrossRef PubMed
- Ryan JG, Fedders M, Jennings T, Vittoria I, Yanes M. Clinical outcomes and incremental costs from a medication adherence pilot intervention targeting low-income patients with diabetes at risk of cost-related medication nonadherence. Clin Ther 2014;36(12):1991–2002. CrossRef PubMed
- Kruger DJ, Shirey L, Morrel-Samuels S, Skorcz S, Brady J. Using a community-based health survey as a tool for informing local health policy. J Public Health Manag Pract 2009;15(1):47–53. CrossRef PubMed
- QuickFacts: Genesee County, Michigan. US Census Bureau; 2015. http://www.census.gov/quickfacts/table/PST045215/26049. Accessed March 3, 2016.
- Shirey LA, Griffith DM, Brady J, Kruger DJ, Morrel-Samuels S, Greene-Moton E. Challenges and lessons learned in developing a community-based health survey. Prog Community Health Partnersh 2008;2(2):99–104. CrossRef PubMed
- Kruger DJ, Reischl TM, Gee GC. Neighborhood social conditions mediate the association between physical deterioration and mental health. Am J Community Psychol 2007;40(3-4):261–71. CrossRef PubMed
- Behavioral Risk Factor Surveillance System survey questionnaire. Atlanta (GA): US Department of Health and Human Services, Centers for Disease Control and Prevention; 2014.
- Richard P. Over spenders quiz. San Diego (CA): Institute of Consumer Financial Education, 2004.
- Kruger DJ, Turbeville AR, Greenberg EC, Zimmerman MA. An increase in economic adversity is associated with poorer self-reported physical and mental health. J Behav Health 2012;1(2):134–7. CrossRef
- Catlin MK, Poisal JA, Cowan CA. Out-of-pocket health care expenditures, by insurance status, 2007–10. Health Aff (Millwood) 2015;34(1):111–6. CrossRef PubMed
- Blavin F, Shartzer A, Long SK, Holahan J. An early look at changes in employer-sponsored insurance under the Affordable Care Act. Health Aff (Millwood) 2015;34(1):170–7. CrossRef PubMed
- US Census Bureau. Genesee County, Michigan. 2016. http://quickfacts.census.gov/qfd/states/26/26049.html. Accessed February 9, 2016.
- Kruger DJ, Hamacher L, Strugar-Fritsch D, Shirey L, Renda E, Zimmerman MA. Facilitating the development of a county health coverage plan with data from a community-based health survey. J Public Health Policy 2010;31(2):199–211. CrossRef PubMed
Tables
Table 1. Demographic and Clinical Characteristics of the Sample (N = 1,234), Speak to Your Health! Community Survey, Michigan, 2011a
| Factor | Value |
|---|---|
| Mean age (standard deviation), y | 53.5 (15.2) |
| Married | 554 (47) |
| Employed | 1,105 (90) |
| Educational attainment | |
| =High school | 309 (26) |
| Some college/technical/associates | 526 (44) |
| College or more | 353 (30) |
| Health insurance statusb | |
| Employer-sponsored | 602 (49) |
| Private policy | 84 (7) |
| Medicaid | 185 (15) |
| Medicare | 352 (29) |
| Genesee Health Plan | 126 (10) |
| Other | 113 (9) |
| No insurance coverage | 71 (6) |
| Female | 876 (73) |
| Race/ethnicity | |
| White | 832 (70) |
| Black or African American | 280 (24) |
| Other | 75 (7) |
| Body mass index, mean (standard deviation) kg/m2 | 29.8 (7.7) |
| Cost-related nonadherencec | 374 (30) |
| Chronic conditionb | |
| High blood pressure | 525 (45) |
| Heart disease | 165 (15) |
| Cancer | 139 (12) |
| Diabetes | 227 (20) |
| Type 1 | 19 (9) |
| Type 2 | 183 (91) |
| Asthma | 195 (18) |
| Sarcoidosis | 16 (1) |
| Sickle cell anemia | 14 (1) |
| Lupus | 16 (1) |
| No. of chronic conditions | |
| 0 | 445 (37) |
| 1 | 380 (32) |
| =2 | 363 (31) |
a Values expressed as no. (%), unless otherwise indicated. Not all categories add to total, because some survey respondents did not answer all questions (percentages based on number of respondents who answered the question).
b Respondents could choose more than one answer.
c Twenty percent of participants did not see a doctor and 24% did not fill a prescription because of cost, resulting in a 30% prevalence of cost-related nonadherence in this sample.
Table 2. Characteristics of Financial Items From Exploratory Factor Analysis, Speak to Your Health! Community Survey, Michigan, 2011
| Survey Item | No. Replied Yes (%) | Loadings | |
|---|---|---|---|
| Financial Stress | Positive Financial Behaviors | ||
| Each pay period, I set aside at least 10% of my pay for savings. | 327 (33) | 0.13 | 0.77 |
| I only spend what I can afford to spend. | 927 (78) | 0.28 | 0.67 |
| I pay off my entire credit card bill each month. | 436 (49) | 0.21 | 0.75 |
| I have trouble sleeping because of my financial problems. | 186 (19) | 0.74 | 0.08 |
| I am concerned because I cannot afford adequate health insurance. | 243 (26) | 0.75 | 0.14 |
| I often worry about my financial situation. | 498 (45) | 0.77 | 0.07 |
| My financial situation is much worse this year than it was in the previous year. | 510 (47) | 0.79 | 0.27 |
| I do not know how I will be able to support myself in the next 12 months. | 194 (19) | 0.83 | 0.07 |
| How difficult is it for you to live on your total household income right now? (% high difficulty) | 232 (19) | 0.76 | 0.28 |
| Cronbach a | NA | 0.89 | 0.63 |
Abbreviation: NA, not applicable.
Table 3. Association Between Positive Financial Behaviors and Financial Stress on a Composite Score of Cost-Related Nonadherence, Speak to Your Health! Community Survey, Michigan, 2011a
| Factor | Cost-Related Nonadherence, Odds Ratio (95% Confidence Interval) (N = 1,114) | P Value |
|---|---|---|
| Positive financial behaviors | 0.80 (0.67–0.94) | .008 |
| Financial stress | 2.49 (2.08–2.99) | .001 |
| No health insurance | 0.47 (0.26–0.85) | .01 |
| Education | ||
| Some college/technical/associates | 1.74 (1.12–2.70) | .01 |
| College or more | 1.77 (1.21–2.59) | .003 |
| Age | 0.96 (0.95–0.97) | .001 |
| Not married | 0.95 (0.69–1.30) | .76 |
| No. of chronic conditions | 1.35 (1.16–1.56) | .001 |
| Unemployed | 0.66 (0.41–1.05) | .08 |
a Models adjusted for the provision of health insurance, education, age, marital status, number of chronic conditions, and employment.
Error processing SSI fileThe opinions expressed by authors contributing to this journal do not necessarily reflect the opinions of the U.S. Department of Health and Human Services, the Public Health Service, the Centers for Disease Control and Prevention, or the authors’ affiliated institutions.