Abortion Surveillance — United States, 2011
Please note: This report has been corrected. An erratum has been published.
Corresponding author: Division of Reproductive Health, National Center for Chronic Disease Prevention and Health Promotion, CDC, 1600 Clifton Rd., NE, MS K-21, Atlanta, GA 30333. E-mail: cdcinfo@cdc.gov.
Abstract
Problem/Condition: Since 1969, CDC has conducted abortion surveillance to document the number and characteristics of women obtaining legal induced abortions in the United States.
Reporting Period Covered: 2011.
Description of System: Each year, CDC requests abortion data from the central health agencies of 52 reporting areas (the 50 states, the District of Columbia, and New York City). The reporting areas provide this information voluntarily. For 2011, data were received from 49 reporting areas. For trend analysis, abortion data were evaluated from 46 areas that reported data every year during 2002–2011. Census and natality data, respectively, were used to calculate abortion rates (number of abortions per 1,000 women) and ratios (number of abortions per 1,000 live births).
Results: A total of 730,322 abortions were reported to CDC for 2011. Of these abortions, 98.3% were from the 46 reporting areas that provided data every year during 2002–2011. Among these same 46 reporting areas, the abortion rate for 2011 was 13.9 abortions per 1,000 women aged 15–44 years, and the abortion ratio was 219 abortions per 1,000 live births. From 2010 to 2011, the total number and rate of reported abortions decreased 5% and the abortion ratio decreased 4%, and from 2002 to 2011, the total number, rate, and ratio of reported abortions decreased 13%, 14%, and 12%, respectively. In 2011, all three measures reached their lowest level for the entire period of analysis (2002–2011).
In 2011 and throughout the period of analysis, women in their 20s accounted for the majority of abortions and had the highest abortion rates, and women in their 30s and older accounted for a much smaller percentage of abortions and had lower abortion rates. In 2011, women aged 20–24 and 25–29 years accounted for 32.9% and 24.9% of all abortions, respectively, and had abortion rates of 24.9 and 19.4 abortions per 1,000 women aged 20–24 and 25–29 years, respectively. In contrast, women aged 30–34, 35–39, and ≥40 years accounted for 15.8%, 8.9%, and 3.6% of all abortions, respectively, and had abortion rates of 12.7, 7.5, and 2.8 abortions per 1,000 women aged 30–34 years, 35–39 years, and ≥40 years, respectively. Throughout the period of analysis, abortion rates decreased among women aged 20–24 and 25–29 years by 21% and 16%, respectively, whereas they increased among women aged ≥40 years by 8%.
In 2011, adolescents aged <15 and 15–19 years accounted for 0.4% and 13.5% of all abortions, respectively, and had abortion rates of 0.9 and 10.5 abortions per 1,000 adolescents aged <15 and 15–19 years, respectively. From 2002 to 2011, the percentage of abortions accounted for by adolescents aged 15–19 years decreased 21% and their abortion rate decreased 34%. These decreases were greater than the decreases for women in any older age group.
In contrast to the percentage distribution of abortions and abortion rates by age, abortion ratios in 2011 and throughout the entire period of analysis were highest among adolescents and lowest among women aged 30–39 years. Abortion ratios decreased from 2002 to 2011 for women in all age groups except for those aged <15 years, for whom they increased.
In 2011, most (64.5%) abortions were performed by ≤8 weeks' gestation, and nearly all (91.4%) were performed by ≤13 weeks' gestation. Few abortions (7.3%) were performed between 14–20 weeks' gestation or at ≥21 weeks' gestation (1.4%). From 2002 to 2011, the percentage of all abortions performed at ≤8 weeks' gestation increased 6%.
In 2011, among reporting areas that included medical (nonsurgical) abortion on their reporting form, a total of 71.0% of abortions were performed by curettage at ≤13 weeks' gestation, 19.1% were performed by early medical abortion (a nonsurgical abortion at ≤8 weeks' gestation), and 8.6% were performed by curettage at >13 weeks' gestation; all other methods were uncommon. Among abortions performed at ≤8 weeks' gestation that were eligible for early medical abortion on the basis of gestational age, 28.5% were completed by this method. The percentage of abortions reported as early medical abortions increased 3% from 2010 to 2011.
Deaths of women associated with complications from abortions for 2011 are being investigated as part of CDC's Pregnancy Mortality Surveillance System. In 2010, the most recent year for which data were available, 10 women were identified to have died as a result of complications from known legal induced abortions. No reported deaths were associated with known illegal induced abortions.
Interpretation: Among the 46 areas that reported data every year during 2002–2011, large decreases in the total number, rate, and ratio of reported abortions from 2010 to 2011, in combination with decreases that occurred during 2008–2010, resulted in historic lows for all three measures of abortion.
Public Health Actions: Unintended pregnancy is the major contributor to abortion. Because unintended pregnancies are rare among women who use the most effective methods of contraception, increasing access to and use of these methods can help further reduce the number of abortions performed in the United States. The data in this report can help program planners and policy makers identify groups of women at greatest risk for unintended pregnancy and help guide and evaluate prevention efforts.
Introduction
This report is based on abortion data for 2011 that were provided voluntarily to CDC by the central health agencies of 49 reporting areas (the District of Columbia; New York City; and 47 states, excluding California, Maryland, and New Hampshire). Data were obtained every year during 2002–2011 from 46 reporting areas (excluding Alaska, California, Louisiana, Maryland, New Hampshire, and West Virginia) and were used for trend analyses. Since 1969, CDC has conducted abortion surveillance to document the number and characteristics of women obtaining legal induced abortions in the United States (1). Following nationwide legalization of abortion in 1973, the total number, rate (number of abortions per 1,000 women aged 15–44 years), and ratio (number of abortions per 1,000 live births) of reported abortions increased rapidly, reaching the highest levels in the 1980s before decreasing at a slow yet steady pace (2–4). However, the incidence of abortion has varied considerably across demographic subpopulations (5–9). Moreover, during 2006–2008, an interruption occurred in the previously sustained pattern of decrease (10–13), but was then followed in subsequent years by even greater decreases (14–16). Continued surveillance is needed to monitor long-term changes in the incidence of abortion in the United States.
Methods
Description of the Surveillance System
Each year, CDC requests tabulated data from the central health agencies of 52 reporting areas (the 50 states, the District of Columbia, and New York City) to document the number and characteristics of women obtaining legal induced abortions in the United States. For the purpose of surveillance, a legal induced abortion* is defined as an intervention performed by a licensed clinician (e.g., a physician, nurse-midwife, nurse practitioner, or physician assistant) that is intended to terminate a suspected or known ongoing intrauterine pregnancy and produce a nonviable fetus at any gestational age.
In most states, collection of abortion data is facilitated by the legal requirement for hospitals, facilities, and physicians to report all abortions to a central health agency (17). These central health agencies then voluntarily report the abortion data they have collected through their independent surveillance systems and provide only aggregate numbers to CDC (18). Although reporting to CDC is voluntary, most reporting areas provide their aggregate abortion numbers: during 2002–2011, a total of 46 reporting areas provided CDC a continuous annual record of abortion numbers,† and in 2011, CDC obtained aggregate abortion numbers from 49 reporting areas (excludes California, Maryland, and New Hampshire).
Although CDC obtains aggregate abortion numbers from most of the central health agencies, the level of detail that it receives on the characteristics of women obtaining abortions varies considerably from year to year and by reporting area. To encourage more uniform collection of these details, CDC has collaborated with the National Association of Public Health Statistics and Information Systems (NAPHSIS) to develop reporting standards and provide technical guidance for vital statistics personnel who collect and summarize abortion data within the United States. However, because the collection of abortion data is not federally mandated, many reporting areas have developed their own forms and do not collect all the information that CDC compiles.
Variables and Categorization of Data
Each year, CDC sends suggested templates to the central health agencies for compilation of abortion data in aggregate. Aggregate abortion numbers, without individual-level records, are requested for the following variables:
- Maternal age in years (<15, 15–19 by individual year, 20–24, 25–29, 30–34, 35–39, or ≥40)
- Gestational age in weeks at the time of abortion (≤6, 7–20 by individual week, or ≥21)
- Race (black, white, or other, including Asian, Pacific Islander, other races, and multiple races)
- Ethnicity (Hispanic or non-Hispanic)
- Method type (curettage,§ intrauterine instillation, medical [nonsurgical] abortion, or other¶)
- Marital status (married [including currently married or separated] or unmarried [including never married, widowed, or divorced])
- Number of previous live births (0, 1, 2, 3, or ≥4)
- Number of previous abortions (0, 1, 2, or ≥3)
- Maternal residence (the state, reporting area, territory, or foreign country in which the woman obtaining the abortion lived; or, if additional details are unavailable, in-reporting area versus out-of-reporting area)
In addition to sending templates for compiling information on race and ethnicity as separate variables, CDC has provided alternative templates since 2001 for the tabulation of aggregate cross-classified race/ethnicity data. Before 2007, few reporting areas returned these alternative templates. Therefore, 2011 is the fifth year for which CDC has had sufficient data to report results by these cross-classified race/ethnicity categories (non-Hispanic white, non-Hispanic black, non-Hispanic other, and Hispanic).
Finally, both the original and alternative templates provided by CDC request that aggregate numbers for certain variables be cross-tabulated by a second variable. These cross-tabulations include gestational age (separately by age, by method type, by race, by ethnicity, and by race/ethnicity) and age and marital status (separately by race, by ethnicity, and by race/ethnicity).
In this report, medical abortions and abortions performed by curettage are further categorized by gestational age. For medical abortion, early medical abortion is defined as the administration of medication or medications (typically mifepristone followed by misoprostol) to induce an abortion at ≤8 weeks' gestation;** medical abortion at >8 weeks' gestation is defined as the administration of medication or medications (typically vaginal prostaglandins) to induce an abortion at >8 weeks' gestation. For curettage, abortions are categorized as having been performed at ≤13 weeks' gestation or at >13 weeks' gestation because of differences in technique used before and after 13 weeks (20). Finally, because intrauterine instillations cannot be performed early in gestation, abortions reported to have been performed by intrauterine instillation at ≤12 weeks' gestation are excluded from calculation of the percentage of abortions by known method type.††
Measures of Abortion
Four measures of abortion are presented in this report: 1) the total number of abortions in a given population, 2) the percentage of abortions obtained by women in a given population, 3) the abortion rate (number of abortions per 1,000 women aged 15–44 years or other specific group within a given population), and 4) the abortion ratio (number of abortions per 1,000 live births within a given population). Although total numbers and percentages are useful for determining how many women have obtained an abortion, abortion rates adjust for differences in population size and reflect how likely abortion is among women in particular groups. Abortion ratios measure the relative number of pregnancies in a population that end in abortion compared with live birth. Abortion ratios are influenced both by the proportion of pregnancies in a population that are unintended and the proportion of unintended pregnancies that end in abortion. Abortion ratios also are influenced by the proportion of intended pregnancies that end in abortion; however, intended pregnancies account for a very small percentage of abortions (<5%) (23).
U.S. Census Bureau estimates of the resident female population of the United States, compiled by CDC, were used as the denominator for calculating abortion rates (24-33). Overall abortion rates were calculated from the population of women aged 15–44 years living in the areas that provided data. For adolescents aged <15 years, abortion rates were based on the number of adolescents aged 13–14 years; similarly, for women aged ≥40 years, abortion rates were based on the number of women aged 40–44 years. For the calculation of abortion ratios, live birth data were obtained from CDC natality files (34) and included births to women of all ages living in the reporting areas that provided abortion data.
Data Presentation and Analysis
This report provides state-specific and overall abortion numbers, rates, and ratios for the 49 areas that reported to CDC for 2011 (excludes California, Maryland, and New Hampshire). In addition, this report describes the characteristics of women who obtained abortions in 2011. Because the completeness of reporting on the characteristics of women varies by year and by variable, this report only describes the characteristics of women obtaining abortions in areas that met reporting standards (i.e., reported at least 20 abortions, provided data categorized in accordance with surveillance variables, and had <15% unknown values for a given characteristic). Cells with a value in the range of 1–4 have been suppressed to maintain confidentiality. In addition, abortion rates and ratios have been omitted for groups with <20 abortions because results are considered unstable (35).
Although most of the data in this report are presented by the reporting area in which the abortions were performed, 48 reporting areas also provided the number of abortions by maternal residence.§§ However, two of these reporting areas (Illinois and Wisconsin) reported certain characteristics for in-state residents but not for out-of-state residents. Three other reporting areas (Iowa, Louisiana, and Massachusetts) provided only the total number of abortions for out-of-state residents without specifying individual states or areas of residence from which these women came. As a result, abortion statistics in this report by area of residence should be interpreted with caution as they are minimum estimates and might be disproportionately low for reporting areas from which many women travel to other states to obtain abortion services.
To evaluate overall trends in the number, rate, and ratio of reported abortions, annual data are presented for the 46 areas that reported every year during 2002–2011. Linear regression analysis was used to assess the overall rate of change among these areas during the entire 10 year period of analysis (2002–2011) and during the first and second half of the period of analysis (2002–2006 and 2007–2011). Percentage change calculations for 2010 to 2011 and for 2002 to 2011 also were calculated with the same 46 areas that provided data for every year included in this report.
For the analysis of certain additional variables (i.e., abortions by maternal age, gestational age, race, and ethnicity), annual data are presented for areas that met reporting standards every year during 2002–2011, and the percentage change was calculated for 2002 to 2011, 2002 to 2006, 2007 to 2011, and 2010 to 2011. For other variables (i.e., method for performing an abortion, marital status, number of previous abortions, and number of previous live births), annual data are not presented, and areas were included if they met reporting standards for the years needed for percentage change calculations. To evaluate trends in the use of different methods for performing an abortion, reporting areas were included only if they met reporting standards and if they specifically included medical abortion as a method on their reporting form.
Some of the 49 areas that reported for 2011 were not included in certain trend analyses. As a result, summary measures for comparisons over time might differ slightly from the point estimates presented for all areas that reported for 2011.
Abortion Mortality
CDC has reported data on abortion-related deaths periodically since information on abortion mortality first was included in the 1972 abortion surveillance report (15,36). An abortion-related death is defined as a death resulting from a direct complication of an abortion (legal or illegal), an indirect complication caused by a chain of events initiated by an abortion, or an aggravation of a preexisting condition by the physiologic or psychologic effects of abortion (37). All deaths determined to be related causally to induced abortion are classified as abortion-related regardless of the time between the abortion and death. In addition, any pregnancy-related death in which the pregnancy outcome was induced abortion regardless of the causal relation between the abortion and the death is considered an abortion-related death. An abortion is defined as legal only if it is performed by a licensed clinician.
Since 1987, CDC has monitored abortion-related deaths through its Pregnancy Mortality Surveillance System (38). Sources of data for abortion-related deaths have included state vital records; media reports, including computerized searches of full-text newspaper and other print media databases; and individual case reports by public health agencies, including maternal mortality review committees, health-care providers and provider organizations, private citizens and citizen groups. For each death that possibly is related to abortion, CDC requests clinical records and autopsy reports. Two medical epidemiologists independently review these reports to determine the cause of death and whether the death was abortion related. Discrepancies are discussed and resolved by consensus. Each death is categorized by abortion type as legal induced, illegal induced, spontaneous, or unknown type.
This report provides data on induced abortion-related deaths that occurred in 2010, the most recent year for which data are available. Data on induced abortion-related deaths that occurred during 1972–2009 already have been published (15) and possible abortion-related deaths that occurred during 2011–2014 are under investigation. For 1998–2010, abortion surveillance data reported to CDC cannot be used alone to calculate national case-fatality rates (number of legal induced abortion-related deaths per 100,000 reported legal induced abortions in the United States) because certain states,¶¶ did not report abortion data every year during this period. Thus, national legal induced abortion case-fatality rates were calculated with denominator data from a more complete source on the total number of abortions performed in the United States (14). Because rates based on a numerator of <20 deaths are highly variable (35), national legal induced abortion case-fatality rates were calculated for consecutive 5-year periods during 1973–2002 and an 8-year period during 2003–2010.
Results
U.S. Totals
Among the 49 reporting areas that provided data for 2011, a total of 730,322 abortions were reported. Of these abortions, 717,903 (98.3%) were obtained from the 46 reporting areas that provided data every year during 2002–2011.*** These same 46 areas had an abortion rate of 13.9 abortions per 1,000 women aged 15–44 years and an abortion ratio of 219 abortions per 1,000 live births (Table 1). All three measures of abortion reached the lowest level reported during the entire period of analysis. From 2010 to 2011, the total number of reported abortions decreased 5% (from 753,065), the abortion rate decreased 5% (from 14.6 abortions per 1,000 women aged 15–44 years), and the abortion ratio decreased 4% (from 228 abortions per 1,000 live births). Among the 46 areas that reported every year during 2002–2011, the total number of reported abortions decreased 13% (from 828,027), the abortion rate decreased 14% (from 16.2 abortions per 1,000 women aged 15–44 years), and the abortion ratio decreased 12% (from 250 abortions per 1,000 live births) (Figure 1). Among the same 46 areas that reported every year during 2002–2011, the annual rate of decrease fitted from the regression analysis for both the total number and rate, but not the ratio of reported abortions, was greater during 2007–2011 than during 2002–2006. During 2007–2011, the number of reported abortions decreased by 26,058 abortions per year, the abortion rate decreased by 0.50 abortions per 1,000 women per year, and the abortion ratio decreased by 2.6 abortions per 1,000 live births per year. In contrast, during 2002–2006, the number of reported abortions decreased by 918 abortions per year, and the abortion rate decreased by 0.04 abortions per 1,000 women per year, while the abortion ratio decreased by 3.5 abortions per 1,000 live births per year.
Occurrence and Residence
Abortion numbers, rates, and ratios for 2011 have been calculated by individual state or reporting area of occurrence and the residence of the women who obtained the abortions (Table 2). By occurrence, a considerable range existed in the abortion rate (ranging from 3.7 per 1,000 women aged 15–44 years in Mississippi to 27.6 in New York [city and state combined]), and the abortion ratio (ranging from 50 abortions per 1,000 live births in South Dakota to 461 in New York [city and state combined]).††† Similarly, a considerable range existed by residence§§§ in the abortion rate (ranging from 4.9 abortions per 1,000 women aged 15–44 years in South Dakota to 26.7 in New York [city and state combined]), and the abortion ratio (ranging from 63 abortions per 1,000 live births in Utah to 446 in New York [city and state combined]). Because of variation that occurred among reporting areas in the percentage of abortions obtained by out-of-state residents (ranging from 0.7% in Alaska to 53.6% in the District of Columbia), abortion rates and ratios calculated by maternal residence might provide a more accurate reflection of the state-specific distribution of women obtaining abortions. However, because states vary in the level of detail they collect on maternal residence, 12.2% of abortions were reported to CDC without exact information on maternal residence.
Age
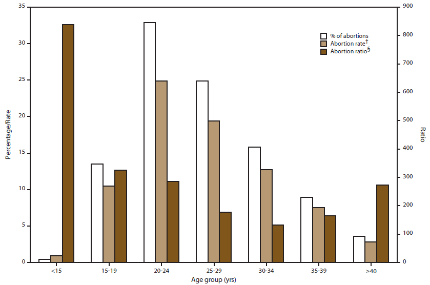
Among the 46 areas that reported by maternal age for 2011, women in their 20s accounted for the majority (57.8%) of abortions and had the highest abortion rates (24.9 and 19.4 abortions per 1,000 women aged 20–24 and 25–29 years, respectively) (Figure 2, Table 3). Women in the youngest (<15 years) and oldest age groups (≥40 years) accounted for the smallest percentage of abortions (0.4% and 3.6%, respectively) and had the lowest abortion rates (0.9 and 2.8 abortions per 1,000 women aged <15 and ≥40 years, respectively). Among the 43 reporting areas that provided data every year during 2002–2011, this pattern across age groups was stable, with the majority of abortions and the highest abortion rates occurring among women aged 20–29 years and the lowest percentages of abortions and abortion rates occurring among women in the youngest and oldest age groups (Table 4). However, from 2002 to 2011 the abortion rate and percentage of abortions accounted for by younger women decreased, whereas the abortion rate and percentage of abortions accounted for by older women increased. Decreases in the abortion rate were greatest for adolescents (36% and 34% for adolescents aged <15 and 15–19 years, respectively), but also were pronounced for women aged 20–29 years (21% and 16% for women aged 20–24 and 25–29 years, respectively). Among all women aged <30 years, decreases in the abortion rate were greatest from 2007 to 2011, but also occurred from 2002 to 2006. In contrast, among women aged ≥40 years, abortion rates increased during both periods, resulting in an overall increase of 8%. Among women aged 30–39 years, abortion rates varied from year to year, resulting in smaller overall changes.
In contrast to the percentage distribution of abortion numbers and abortion rates, abortion ratios in 2011 were highest among adolescents aged ≤19 years and lowest among women aged 30–39 years (Figure 2, Table 3). Among the 43 reporting areas that provided data for every year during 2002–2011, abortion ratios decreased among all women aged ≥15 years. For most age groups ≥15 years, abortion ratios decreased both from 2002 to 2006 and from 2007 to 2011. However, for women aged 20–24 years, abortion ratios decreased from 2002 to 2006 but then increased from 2007 to 2011 (Table 4).
Adolescents
Among the 44 areas that reported age by individual year among adolescents for 2011, adolescents aged 18–19 years accounted for the majority (65.3%) of adolescent abortions and had the highest adolescent abortion rates (14.8 and 18.9 abortions per 1,000 adolescents aged 18 and 19 years, respectively); adolescents aged <15 years accounted for the smallest percentage of adolescent abortions (3.0%) and had the lowest adolescent abortion rate (0.8 abortions per 1,000 adolescents aged 13–14 years) (Table 5). Among the 40 reporting areas that provided data for adolescents by individual year of age every year during 2002–2011, this pattern across age groups became even more pronounced (Table 6). The percentage of abortions accounted for by older adolescents increased, and decreases in the abortion rate were greater for younger as compared with older adolescents. Among adolescents of all ages, abortion rates decreased both from 2002 to 2006 and from 2007 to 2011, but decreases were greatest from 2007 to 2011, and large decreases continued from 2010 to 2011.
In 2011, the adolescent abortion ratio decreased with increasing age and was lowest among adolescents aged 19 years (Table 5). Among the 40 reporting areas that provided data for adolescents by individual year of age for every year during 2002–2011, abortion ratios increased among adolescents aged <15 years and decreased among adolescents aged ≥15 years (Table 6).
Gestational Age
Among the 39 areas that reported gestational age at the time of abortion for 2011 (Table 7), the majority (64.5%) of abortions were performed by ≤8 weeks' gestation, and 91.4% were performed at ≤13 weeks' gestation. Few abortions were performed between 14–20 weeks' gestation (7.3%) or at ≥21 weeks' gestation (1.4%). Among the 31 reporting areas that provided data on gestational age every year during 2002–2011 (Table 8), the percentage of abortions performed at ≤13 weeks' gestation increased slightly. However, within this gestational age range, a shift occurred toward earlier gestational ages, with abortions performed at ≤8 weeks' gestation increasing 6% and abortions performed at 9–13 weeks decreasing 12%. Abortions performed at >13 weeks' gestation decreased 1% from 2002 to 2011 and accounted for a small percentage of abortions (≤8.9%) for the entire period during 2002–2011.
Among the subset of abortions performed at ≤13 weeks' gestation and reported by individual week of gestation for 2011, 36.1% were performed at ≤6 weeks' gestation (Table 9). Among the remaining abortions between 7 and 13 weeks' gestation, the percentage contribution was progressively lower for each additional week of gestation: 19.5% were performed at 7 weeks' gestation and 3.0% were performed at 13 weeks' gestation. Among the 31 areas that reported by exact week of gestation for abortions at ≤13 weeks' gestation every year during 2002–2011, the percentage of abortions shifted toward earlier gestational ages: those performed at ≤6 weeks' gestation increased 19%, and those performed at 7–12 weeks' gestation decreased up to 18% (Table 10).
Method Type
Among the 40 areas that reported by method type for 2011 and included medical abortion on their reporting form for medical providers, 71.0% of abortions were performed by curettage at ≤13 weeks' gestation, 19.1% were performed by early medical abortion (a nonsurgical abortion at ≤8 weeks' gestation), and 8.6% were performed by curettage at >13 weeks' gestation; all other methods were uncommon (Table 11). Among the 29 reporting areas that included medical abortion on their reporting form and provided this data for the relevant years of comparison (2002 versus 2006, 2007 versus 2011, and 2010 versus 2011),¶¶¶ use of early medical abortion increased 3% from 2010 to 2011 (from 17.7% of abortions in 2010 to 18.3% in 2011); from 2002 to 2011, use of early medical abortion increased approximately 200% (from 5.8% of abortions in 2002 to 18.3% in 2011). Large increases in medical abortion occurred both from 2002 to 2006 (from 5.8% of abortions in 2002 to 10.9% in 2006 [88% increase]), and from 2007 to 2011 (from 12.1% of abortions in 2007 to 18.3% in 2011 [51% increase]). In contrast, use of curettage at ≤13 weeks' gestation decreased 14% (from 83.9% of abortions in 2002 to 72.0% in 2011). Curettage at >13 weeks' gestation consistently accounted for approximately 8% of abortions (8.2% in 2002 and 8.6% in 2011), and all other methods consistently accounted for a small percentage of abortions (0.03%–1.4%).
Race/Ethnicity
Among the 27 areas that reported cross-classified race/ethnicity data for 2011 (Table 12), non-Hispanic white women and non-Hispanic black women accounted for the largest percentages of abortions (37.2% and 36.2%, respectively), and Hispanic women and non-Hispanic women in the other race category accounted for smaller percentages (19.7% and 7.0%, respectively). Non-Hispanic white women had the lowest abortion rate (8.0 abortions per 1,000 women aged 15–44 years) and ratio (132 abortions per 1,000 live births), and non-Hispanic black women had the highest abortion rate (29.7 abortions per 1,000 women aged 15–44 years) and ratio (459 abortions per 1,000 live births).
Among the 21 areas**** that reported by race/ethnicity for 2007, 2010 and 2011, abortion rates decreased substantially for all three major racial/ethnic groups. For non-Hispanic white women, the abortion rate decreased 15% (from 9.3 abortions per 1,000 women in 2007 to 7.9 in 2011), for non-Hispanic black women it decreased 12% (from 34.8 abortions per 1,000 women in 2007 to 30.7 in 2011) and for Hispanic women it decreased 18% (from 20.7 abortions per 1,000 women in 2007 to 16.9 in 2011). In contrast, from 2007 to 2011, a large decrease (10%) in the abortion ratio occurred among non-Hispanic white women (from 144 to 130 abortions per 1,000 live births), a lesser decrease (2%) occurred among non-Hispanic black women (from 486 to 474 abortions per 1,000 live births), and a small increase (3%) occurred among Hispanic women (from 204 to 210 abortions per 1,000 live births). Data are reported separately by race and by ethnicity for 2011 (Tables 13 and 15) and for 2002–2011 (Tables 14 and 16).
Marital Status
Among the 37 areas that reported by marital status for 2011, 14.5% of all women who obtained an abortion were married and 85.5% were unmarried (Table 17). The abortion ratio was 43 abortions per 1,000 live births for married women and 373 abortions per 1,000 live births for unmarried women. Among the 32 reporting areas†††† that provided these data for the relevant years of comparison (2002 versus 2006, 2007 versus 2011, and 2010 versus 2011), the percentage of abortions among unmarried women increased 5% from 2002 to 2011 (from 81.7% in 2002 to 85.4% in 2011); a similar increase occurred from 2002 to 2006 and from 2007 to 2011. Among married women, the abortion ratio decreased 23% from 2002 to 2011 (from 56 to 43 abortions per 1,000 live births), with a larger decrease occurring from 2007 to 2011 (16%) than from 2002 to 2006 (7%). Among unmarried women, the abortion ratio decreased 25% from 2002 to 2011 (from 505 to 381 abortions per 1,000 live births). For unmarried women, the decrease was greater from 2002 to 2006 (16%) than from 2007 to 2011 (4%).
Previous Live Births and Abortions
Data from the 40 areas that reported the number of previous live births for women who obtained abortions in 2011 show that 39.9%, 46.1%, and 13.9% of these women had zero, one to two, or three or more previous live births, respectively (Table 18). Among the 33 reporting areas§§§§ that provided these data for the relevant years of comparison (2002 versus 2006, 2007 versus 2011, and 2010 versus 2011), the percentage of women obtaining abortions who had no previous live births was comparatively stable; by contrast, the percentage decreased for women who had one to two previous live births, and increased for women who had three or more previous live births. Among the areas included in this comparison, 39.0%, 48.4%, and 12.6% of women had zero, one to two, or three or more previous live births, respectively in 2002; 39.8%, 46.4% and 13.8% of women had zero, one to two, or three or more live births, respectively in 2011.
Data from the 37 areas that reported the number of previous abortions for women who obtained abortions in 2011 indicate that the majority (56.9%) had no previous abortions, 36.1% had one to two previous abortions, and 7.1% had three or more previous abortions (Table 19). Among the 30 reporting areas¶¶¶¶ that provided data for the relevant years of comparison (2002 versus 2006, 2007 versus 2011, and 2010 versus 2011), the percentage of women who had one to two previous abortions was stable, although there was a decrease among women who had zero previous abortions and an increase among women who had three or more previous abortions. Among the areas included in this comparison, 57.8%, 36.0%, and 6.2% of women had zero, one to two, or three or more previous abortions, respectively, in 2002; by contrast, 57.0%, 35.9%, and 7.2% of women had zero, one to two, or three or more previous abortions, respectively, in 2011.
Age and Marital Status by Race/Ethnicity
In certain reporting areas, abortions that were categorized by maternal race and race/ethnicity were further categorized by maternal age and by marital status (Tables 20 and 21). A consistent pattern existed for abortions by age across all race/ethnicity groups, with the smallest percentage of abortions occurring among adolescents aged <15 years (0.3%–0.6%) and the largest percentage occurring among women aged 20–24 years (27.0%–33.5%) (Table 21). A consistent pattern also existed for abortions by marital status across all race/ethnicity groups, with a higher percentage of abortions occurring among women who were unmarried (67.8%–92.2%) than among those who were married (7.8%–32.2%) (Table 21). However, for abortions among unmarried women, the percentage was higher for non-Hispanic black women (92.2%) than for non-Hispanic white (84.0%) or Hispanic women (82.6%) (Table 21).
Weeks of Gestation by Age, Race/Ethnicity, and Method Type
In certain reporting areas, abortions that were categorized by weeks of gestation were further categorized by maternal age, race, and race/ethnicity (Tables 22 and 23). In every subgroup for these three variables, the largest percentage of abortions was obtained at ≤8 weeks' gestation. However, by age, 43.9% of adolescents <15 years and 54.7% of adolescents 15–19 years obtained an abortion by ≤8 weeks' gestation, compared with 62.4%–71.5% of women in older age groups (Figure 3; Table 22). Conversely, 21.7% of adolescents aged <15 years and 12.4% of adolescents 15–19 years obtained an abortion after 13 weeks' gestation, compared with 7.1%–9.0% for women in older age groups. By race/ethnicity, 58.3% of non-Hispanic black women obtained an abortion at ≤8 weeks' gestation, compared with 66.9%–71.1% of women from other racial/ethnic groups. Non-Hispanic black women obtained the highest percentage of abortions after 13 weeks' gestation, but differences across racial/ethnic groups were less apparent than differences across age groups.
Among abortions categorized by method type and gestational age, curettage accounted for the largest percentage of abortions within every gestational age category (Table 24). At ≤8 weeks' gestation, curettage accounted for a smaller percentage of abortions (71.2%) than at any other stage of gestation. At 9–17 weeks' gestation, curettage accounted for 97.0%–98.8% of all abortions and then decreased to 95.3% of abortions between 18–20 weeks' gestation and 87.4% of abortions at ≥21 weeks' gestation. By contrast, at ≤8 weeks' gestation, early medical abortion accounted for 28.5% of abortions, but at all subsequent points in gestation the use of medications to induce abortions through nonsurgical methods accounted for only 0.6%–5.3% of reported abortions. Throughout gestation, intrauterine instillations and abortions reported in the other methods category accounted for a small percentage (<0.01%–6.5%) of abortions.
Abortion Mortality
Using national data from the Pregnancy Mortality Surveillance System (38), CDC identified 10 abortion-related deaths for 2010 (Table 25). These deaths were identified either by some indication of abortion on the death certificate, by reports from a health-care provider or public health agency, or from a media report. Investigation of these cases indicated that all 10 deaths were related to legal abortion and none to illegal abortion.
The annual number of deaths related to legal induced abortions has fluctuated from year to year over the past 38 years (Table 25). For example, 10 legal induced abortion-related deaths occurred in 1994, four deaths in 1995, and nine deaths in 1996. Because of this variability and the relatively small number of legal induced abortion-related deaths every year, national legal abortion case-fatality rates were calculated for consecutive 5-year periods during 1973–2002 and an 8-year period during 2003–2010. The national legal induced abortion case-fatality rate for 2003–2010 was 0.70 legal induced abortion-related deaths per 100,000 reported legal abortions. This case fatality rate was similar to the rate for most of the preceding 5-year periods but lower than the case-fatality rate of 2.09 legal induced abortion-related deaths per 100,000 reported legal abortions for the 5-year period (1973–1977) immediately following nationwide legalization of abortion in 1973. Possible abortion-related deaths that occurred during 2011–2014 are under investigation.
Discussion
For 2011, a total of 730,322 abortions were reported to CDC. Of these abortions, 98.3% were from 46 reporting areas that submitted data every year during 2002–2011, thus providing the information necessary for evaluating trends. These 46 areas had an abortion rate of 13.9 abortions per 1,000 women aged 15–44 years and an abortion ratio of 219 abortions per 1,000 live births. Compared with 2010, this represents a 5% decrease in the total number (from 753,065) and rate (from 14.6 abortions per 1,000 women) of reported abortions and a 4% decrease in the abortion ratio (from 228 abortions per 1,000 births). Because of the size of these decreases, combined with decreases from the previous 2 years (15,16), all three measures of abortion reached their lowest level for the entire period of analysis (2002–2011).
In addition to highlighting changes that occurred among all women of reproductive age, this report underscores important age differences in abortion trends. During 2002–2011, women in their 20s consistently accounted for the majority of abortions (56%–58%) and therefore have contributed substantially to overall changes in abortion rates. Conversely, women aged ≥40 years consistently have accounted for a small percentage of abortions (≤3.6% during 2002–2011) and have had a much smaller contribution to overall abortion trends. Nonetheless, among women aged ≥40 years, abortion rates have shown a small yet persistent increase and the abortion ratio for this age group remains high. Together with the continuing small proportion of abortions performed later in gestation among these women, which potentially might be completed for maternal medical indications or fetal anomalies, these patterns suggest that unintended pregnancy is a problem that women encounter throughout their reproductive years.
The adolescent abortion trends described in this report are important for monitoring progress that has been made toward reducing adolescent pregnancies in the United States. During 1990–2009, the pregnancy rate for adolescents aged 15–19 years decreased 44% to an historic low (39). This decrease was associated with substantial decreases in both the rate of live births (58%) and abortions (60%) among adolescents (39). More recent data indicate that the birth rate for adolescents aged 15–19 years decreased by a further 22% from 2010 to 2013 (40–43). The 10% decrease from 2010 to 2011 in the adolescent abortion rate suggests that adolescent pregnancies in the United States are continuing to decrease and that this decrease continues to be accompanied by substantial decreases in adolescent abortions and live births.
The findings in this report on race and ethnicity reflect differences in patterns of obtaining abortions that have been well-documented (2–9). Comparatively high abortion rates and ratios among non-Hispanic black women can be attributed to higher unintended pregnancy rates and a higher percentage of unintended pregnancies ending in abortion (44,45). Data from certain recent reports suggest that differences in measures of abortion between non-Hispanic black women and women of other races have narrowed (8,9). However, this pattern has not been observed in the data reported to CDC for 2011 or in previous years. Higher abortion rates among Hispanic compared with non-Hispanic white women can be attributed to high pregnancy rates among Hispanic women (44,45). However, abortion ratios in these two groups have been more comparable: Hispanic women have had a slightly higher percentage of pregnancies that are unintended but are no more likely than non-Hispanic white women to end unintended pregnancies in abortion (44,45). Differences between non-Hispanic white and Hispanic women in abortion rates changed little from 2007 to 2011, although the difference in abortion ratios widened, with a decrease for non-Hispanic white women and an increase for Hispanic women.
The findings in this report indicate women are obtaining abortions earlier in gestation, when the risks for complications are lowest (46–49). Among the areas that reported data every year during 2002–2011, the percentage of abortions performed at ≤8 weeks' gestation increased 6%. Moreover, among the areas that reported abortions at ≤13 weeks' gestation by individual week, the distribution continued to shift toward earlier weeks of gestation with the percentage of early abortions performed at ≤6 weeks' gestation increasing 19%. Nonetheless, the overall percentage of abortions performed at ≤13 weeks' gestation changed little during 2002–2011, and findings from this and other reports suggest that delays in obtaining an abortion are more common among certain groups of women (50–52). Because of the small but persistent percentage of women who obtain abortions at >13 weeks' gestation, a better understanding is needed of the factors that cause delays in obtaining abortions (51–55).
The trend of obtaining abortions earlier in pregnancy has been facilitated by changes in abortion practices. Research conducted in the United States during the 1970s indicated that surgical abortion procedures performed at ≤6 weeks' as compared with 7–12 weeks' gestation were less likely to result in successful termination of the pregnancy (56). However, subsequent advances in technology (e.g., improved transvaginal ultrasonography and sensitive pregnancy tests) have allowed very early surgical abortions to be performed with completion rates exceeding 97% (49,57–59). Likewise, the development of medical abortion regimens has allowed for abortions to be performed very early in gestation, with completion rates for regimens that combine mifepristone and misoprostol reaching 96%–98% (60). In 2011, 64.5% of abortions were performed at ≤8 weeks' gestation, and thus the women receiving these abortions were eligible for early medical abortion on the basis of gestational age; 28.5% of these abortions at ≤8 weeks' gestation and 19.1% of all abortions were reported as early medical abortions. Moreover, the use of early medical abortion has continued to rise since FDA approval of mifepristone: from 2002 to 2011, the percentage of all reported abortions accounted for by this method increased approximately 200%, with large increases observed both from 2002 to 2006 and 2007 to 2011. Because the annual increase from 2010 to 2011 was smaller than in previous years, continued surveillance is needed to monitor the use of early medical abortion relative to other abortion methods.
The annual number of deaths related to legal induced abortions has fluctuated from year to year over the past 37 years. Because of this variability and the relatively small number of abortion-related deaths every year, national legal abortion case-fatality rates were calculated for consecutive 5-year periods during 1973–2002 and an 8-year period during 2003–2010. The national legal induced abortion case-fatality rate for 2003–2010 was similar to the case fatality rate for most of the preceding 5-year periods, but was much lower than the case fatality year for the period of 1973–1978 that immediately followed nationwide legalization of abortion in 1973.
Limitations
The findings in this report are subject to at least four limitations. First, because reporting requirements are established by the individual reporting areas (18), the collection of data varies, and CDC is unable to obtain the total number of abortions performed in the United States. During the period covered by this report, the total annual number of abortions reported to CDC was consistently approximately 70% of the number recorded by the Guttmacher Institute (14,61), which uses numerous active follow-up techniques to increase the completeness of the data obtained through its periodic national census of abortion providers (14). Although most reporting areas collect and send abortion data to CDC, this information is submitted to CDC voluntarily. Consequently, during 2002–2011, six of the 52 reporting areas did not provide CDC data on a consistent annual basis, and for 2011, CDC did not obtain any information from California, Maryland, or New Hampshire.***** In addition, whereas most reporting areas that send abortion data to CDC have laws requiring medical providers to submit a report for every abortion they perform to a central health agency, in New Jersey and the District of Columbia, medical providers submit this information voluntarily (17). As a result, the abortion numbers these areas report to CDC are incomplete.††††† Moreover, even in states that legally require medical providers to submit a report for all the abortions they perform, enforcement of this requirement varies (62). Consequently, several other reporting areas tend to provide CDC with incomplete numbers.§§§§§
Second, because reporting requirements are established by the individual reporting areas, many states use reporting forms that do not follow the technical standards and guidance CDC developed in collaboration with National Association of Public Health Statistics and Information Systems. Consequently, many reporting areas do not collect all the information CDC compiles on the characteristics of women obtaining abortions (e.g., age, race, and ethnicity) (62). Although missing demographic information can reduce the extent to which the statistics in this report represent all women in the United States, four nationally representative surveys of women obtaining abortions in 1987, 1994–1995, 2001–2002, and 2008 (5–8) have produced percentage distributions for most characteristics that are nearly identical to the percentage distributions reported by CDC. The one exception is the percentage distribution of abortions by race/ethnicity. In particular, the percentage of abortions accounted for by non-Hispanic black women is higher in this report than the percentage based on a recent nationally representative survey of women obtaining abortions (8). Similarly, the greater decrease in abortion rates for non-Hispanic black women compared with women of other racial/ethnic groups based on nationally representative survey data (9) is not supported by the data reported to CDC. These differences likely are attributable both to the high degree of measurement error for this variable that reduces the reliability of national survey results (8,9) and because the number of states that report to CDC by race/ethnicity continues to be somewhat lower than for other demographic variables. Importantly, some reporting areas that have not reported to CDC, or have not reported cross-classified race/ethnicity data (e.g., California, Florida, and Illinois), have sufficiently large populations of minority women that the absence of data from these areas reduces the representativeness of CDC data.
Similar to the case for race/ethnicity, the absence of medical abortion as a specific category on the reporting form used by some states (17) might reduce the precision of CDC's estimates of the use of this method relative to other abortion techniques. Furthermore, even in states with medical abortion on their reporting form, it is possible that this method is disproportionately undercounted: a higher percentage of the abortions provided in physician's offices and smaller caseload facilities are medical abortions (10,63), and these practices might be difficult to locate in the wider medical community without active surveillance efforts (63). Nonetheless, a recent comparison of CDC data with mifepristone sales data¶¶¶¶¶ suggests that CDC's Abortion Surveillance System accurately describes the use of medical abortion relative to other abortion methods in the United States (64).
Third, abortion data are compiled and reported to CDC by the central health agency of the reporting area in which the abortion was performed rather than the reporting area in which the woman lived. Thus, the available population (24–33) and birth data (34), which are organized by the states in which women live, might differ in some cases from the population of women seeking abortions in a given reporting area. This likely results in an overestimation of abortions for reporting areas in which a high percentage of abortions are obtained by out-of-state residents and an underestimation of abortions for states with limited abortion services, more stringent legal requirements for obtaining an abortion, or geographic proximity to services in another state. To adjust for these reporting biases, CDC attempts to categorize abortions by residence in addition to geographic occurrence. However, in 2011, CDC was unable to identify the reporting area, territory, or country of residence for 12.2% of reported abortions.
Finally, reporting areas provide CDC with aggregate numbers rather than individual-level records. Because CDC does not obtain individual-level records, stratified analyses by socioeconomic status cannot be done.
Public Health Implications
Ongoing surveillance of legal induced abortions is important for several reasons. First, abortion surveillance is needed to guide and evaluate the success of programs aimed at preventing unintended pregnancies. Although pregnancy intentions are difficult to assess (65–72), abortion surveillance provides an important measure of pregnancies that are unwanted. Second, routine abortion surveillance is needed to assess trends in clinical practice patterns over time. Information in this report on the number of abortions performed through different methods (e.g., medical or curettage) and at different gestational ages provides the denominator data that are necessary for analyses of the relative safety of abortion practices. Finally, information on the number of pregnancies ending in abortion are needed in conjunction with data on births and fetal losses to more accurately estimate the number of pregnancies in the United States and determine rates for various outcomes (e.g., adolescent pregnancy rates) (39,73).
According to the most recent national estimates, 18% of all pregnancies in the United States end in abortion (39). Multiple factors influence the incidence of abortion including the availability of abortion providers (14,74–76); state regulations, such as mandatory waiting periods (77), parental involvement laws (78), and legal restrictions on abortion providers (79); increasing acceptance of nonmarital childbearing (80,81); shifts in the racial/ethnic composition of the U.S. population (82,83); and changes in the economy and the resulting impact on fertility preferences and access to health-care services, including contraception (84,85). However, because unintended pregnancy precedes nearly all abortions (23),****** efforts to reduce the incidence of abortion need to focus on helping women, men, and couples avoid pregnancies that they do not desire.
Providing women and men with the knowledge and resources necessary to make decisions about their sexual behavior and use of contraception can help them avoid unintended pregnancies. However, efforts to improve contraceptive use and reduce the number of unintended pregnancies in the United States have been challenging. Findings from the National Survey of Family Growth (NSFG), the primary national source of data on unintended pregnancy in the United States, suggest that unintended pregnancy decreased during 1982–1995 in conjunction with an increase in contraceptive use among women at risk for unintended pregnancy (86–88). However, data from the 2002 and 2006–2010 NSFGs indicate little further improvement in contraceptive use among women at risk for unintended pregnancy (87,89). Moreover, although use of the most effective forms of reversible contraception (i.e., intrauterine devices and hormonal implants, which are as effective as sterilization at preventing unintended pregnancy [90]), has increased (89,91), use of these methods in the United States remains among the lowest of any developed country (91,92), and no additional progress has been made toward reducing unintended pregnancy (44,45). Research has shown that providing contraception for women at no cost increases use of the most effective methods and can reduce abortion rates (93,94). Removing cost and increasing access to the most effective contraceptive methods could be an important way to reduce the number of unintended pregnancies and consequently the number of abortions performed in the United States.
References
- Smith JC. Abortion surveillance report, hospital abortions, annual summary 1969. Atlanta, GA: US Department of Health, Education, and Welfare, Public Health Service, Health Services and Mental Health Administration, National Communicable Disease Center; 1970.
- Henshaw SK, Kost K. Trends in the characteristics of women obtaining abortions, 1974 to 2004. New York: Guttmacher Institute; 2008. Available at http://www.guttmacher.org/pubs/2008/09/23/TrendsWomenAbortions-wTables.pdf.
- Jones RK, Kost K, Singh S, Henshaw SK, Finer LB. Trends in abortion in the United States. Clin Obstet Gynecol 2009;52:119–29.
- CDC. Abortion surveillance—United States, 2005. MMWR 2008;57(No. SS-13). Available at http://www.cdc.gov/mmwr/preview/mmwrhtml/ss5713a1.htm.
- Henshaw SK, Kost K. Abortion patients in 1994-1995: characteristics and contraceptive use. Fam Plann Perspect 1996;28:140–7, 58.
- Henshaw SK, Silverman J. The characteristics and prior contraceptive use of U.S. abortion patients. Fam Plann Perspect 1988;20:158–68.
- Jones RK, Darroch JE, Henshaw SK. Patterns in the socioeconomic characteristics of women obtaining abortions in 2000-2001. Perspect Sex Reprod Health 2002;34:226–35.
- Jones RK, Finer LB, Singh S. Characteristics of U.S. abortion patients, 2008. New York: Guttmacher Institute. Available at http://www.guttmacher.org/pubs/US-Abortion-Patients.pdf; 2010.
- Jones RK, Kavanaugh ML. Changes in abortion rates between 2000 and 2008 and lifetime incidence of abortion. Obstet Gynecol 2011;117:1358–66.
- Jones RK, Kooistra K. Abortion incidence and access to services in the United States, 2008. Perspect Sex Reprod Health 2011;43:41–50.
- CDC. Abortion surveillance—United States, 2006. MMWR 2009;58(No. SS-8). Available at http://www.cdc.gov/mmwr/preview/mmwrhtml/ss5808a1.htm
- CDC. Abortion surveillance—United States, 2007. MMWR 2011;60(No. SS-1). Available at http://www.cdc.gov/mmwr/preview/mmwrhtml/ss6001a1.htm
- CDC. Abortion surveillance—United States, 2008. MMWR 2011;60(No. SS-15). Available at http://www.cdc.gov/mmwr/preview/mmwrhtml/ss6015a1.htm
- Jones RK, Jerman J. Abortion incidence and service availability in the United States, 2011. Perspect Sex Reprod Health 2014;46:3–14.
- CDC. Abortion surveillance—United States, 2010. MMWR 2013;62(No. SS-8). Available at http://www.cdc.gov/mmwr/preview/mmwrhtml/ss6208a1.htm
- CDC. Abortion surveillance—United States, 2009. MMWR 2012;61(No. SS-8). Available at http://www.cdc.gov/mmwr/preview/mmwrhtml/ss6108a1.htm
- Guttmacher Institute. State policies in brief: an overview of abortion laws. New York: Guttmacher Institute; 2014. Available at http://www.guttmacher.org/statecenter/spibs/spib_ARR.pdf.
- Saul R. Abortion reporting in the United States: an examination of the federal-state partnership. Fam Plann Perspect 1998;30:244–7.
- American Congress of Obstetricians and Gynocologists Committee. ACOG practice bulletin. Clinical management guidelines for obstetrician-gynecologists. Number 67, October 2005. Medical management of abortion. Obstet Gynecol 2005;106:871–82
- Paul M, Lichtenberg ES, Borgatta L, Grimes DA, Stubblefield PG, Creinin MD. Management of unintended and abnormal pregnancy: comprehensive abortion care. Oxford: Blackwell Publishing Ltd.; 2009.
- Grimes DA, Schultz KF, Cates W, Jr., Tyler CW. The Joint Program for the Study of Abortion/CDC: A preliminary report. In: Hern WM, Andrikopoulos B, editors. Abortion in the Seventies: Proceedings of the Western Regional Conference on Abortion New York: National Abortion Federation; 1977: 41–54.
- Grimes DA, Schulz KF, Cates W, Jr., Tyler CW, Jr. Mid-trimester abortion by dilatation and evacuation: a safe and practical alternative. N Engl J Med 1977;296:1141–5.
- Finer LB, Kost K. Unintended pregnancy rates at the state level. Perspect Sex Reprod Health 2011;43:78–87.
- CDC. Vintage 2011 Bridged-race postcensal population estimates [File pcen_v2011_y11.sasbdat]. Hyattsville, MD: National Center for Health Statistics. Available at http://www.cdc.gov/nchs/nvss/bridged_race/data_documentation.htm#vintage2011.
- CDC. Bridged-race population estimates, April 1, 2010 [File census_0403_2010.sas7bdat.zip]. Hyattsville, MD: National Center for Health Statistics. Available at http://www.cdc.gov/nchs/nvss/bridged_race/data_documentation.htm#april2010.
- CDC. Revised Bridged-Race Intercensal Population Estimates, July 1, 2000-July 2009 [File icen_2000_09_y09.sas.zip]. Hyattsville, MD: National Center for Health Statistics. Available at http://www.cdc.gov/nchs/nvss/bridged_race/data_documentation.htm#july2009.
- CDC. Revised Bridged-Race Intercensal Population Estimates, July 1, 2000-July 2009. [File icen_2000_09_y08.sas.zip]. Hyattsville, MD: National Center for Health Statistics. Available at http://www.cdc.gov/nchs/nvss/bridged_race/data_documentation.htm#july2009.
- CDC. Revised Bridged-Race Intercensal Population Estimates, July 1, 2000-July 2009. [File icen_2000_09_y07.sas.zip]. Hyattsville, MD: National Center for Health Statistics. Available at http://www.cdc.gov/nchs/nvss/bridged_race/data_documentation.htm#july2009.
- CDC. Revised Bridged-Race Intercensal Population Estimates, July 1, 2000-July 2009. [File icen_2000_09_y06sas.zip]. Hyattsville, MD: National Center for Health Statistics. Available at http://www.cdc.gov/nchs/nvss/bridged_race/data_documentation.htm#july2009.
- CDC. Revised Bridged-Race Intercensal Population Estimates, July 1, 2000-July 2009. [File icen_2000_09_y05sas.zip]. Hyattsville, MD: National Center for Health Statistics. Available at http://www.cdc.gov/nchs/nvss/bridged_race/data_documentation.htm#july2009.
- CDC. Revised Bridged-Race Intercensal Population Estimates, July 1, 2000-July 2009. [File icen_2000_09_y04sas.zip]. Hyattsville, MD: National Center for Health Statistics. Available at http://www.cdc.gov/nchs/nvss/bridged_race/data_documentation.htm#july2009.
- CDC. Revised Bridged-Race Intercensal Population Estimates, July 1, 2000-July 2009. [File icen_2000_09_y03sas.zip]. Hyattsville, MD: Available at http://www.cdc.gov/nchs/nvss/bridged_race/data_documentation.htm#july2009.
- CDC. Revised Bridged-Race Intercensal Population Estimates, July 1, 2000-July 2009. [File icen_2000_09_y02sas.zip]. Hyattsville, MD: National Center for Health Statistics. Available at http://www.cdc.gov/nchs/nvss/bridged_race/data_documentation.htm#july2009.
- CDC. VitalStats - births, birth data files. Hyattsville, MD: National Center for Health Statistics; 2011. Available at http://www.cdc.gov/nchs/data_access/vitalstats/VitalStats_Births.htm.
- Hoyert D. Maternal mortality and related concepts. National Center for Health Statistics. Vital Health Stat 3(33). Hyattsville, MD. Available at: http://www.cdc.gov/nchs/data/series/sr_03/sr03_033.pdf. 2007.
- CDC. Abortion surveillance, 1972. Atlanta, GA: US Department of Health, Education, and Welfare, Public Health Service, CDC; 1974.
- CDC. Abortion surveillance, 1977. Atlanta, GA: US Department of Health, Education, and Welfare, Public Health Service, CDC; 1979.
- CDC. Pregnancy mortality surveillance in the United States, 2011. Atlanta, GA: CDC; 2011. Available at http://www.cdc.gov/reproductivehealth/MaternalInfantHealth/Pregnancy-relatedMortality.htm.
- Curtin SC, Abma JC, Ventura SJ, Henshaw SK. Pregnancy rates for U.S. women continue to drop. NCHS data brief 2013:1-8.
- Martin JA, Hamilton BE, Ventura SJ, Osterman MJK, Wilson EC, Mathews TS. Births: final data for 2010. National Vital Statistics Reports 2011;61:1–72.
- Martin JA, Hamilton BE, Ventura SJ, Osterman MJK, Mathews TS. Births: final data for 2011. National Vital Statistics Reports 2013;62:1–70.
- Martin JA, Hamilton BE, Osterman MJK, Curtin SC, Mathews TS. Births: final data for 2012. National Vital Statistics Reports 2013;62.
- Hamilton BE, Martin JA, Osterman MJK, Curtin SC. Births preliminary data for 2013. National Vital Statistics Reports 2014;63:1–34.
- Finer LB, Henshaw SK. Disparities in rates of unintended pregnancy in the United States, 1994 and 2001. Perspect Sex Reprod Health 2006;38:90–6.
- Finer LB, Zolna MR. Shifts in intended and unintended pregnancies in the United States, 2001-2008. Am J Public Health 2014;104 Suppl 1:S43–8.
- Bartlett LA, Berg CJ, Shulman HB, Zane SB, Green CA, Whitehead S, et al. Risk factors for legal induced abortion-related mortality in the United States. Obstet Gynecol 2004;103:729–37.
- Buehler JW, Schulz KF, Grimes DA, Hogue CJ. The risk of serious complications from induced abortion: do personal characteristics make a difference? Am J Obstet Gynecol 1985;153:14–20.
- Ferris LE, McMain-Klein M, Colodny N, Fellows GF, Lamont J. Factors associated with immediate abortion complications. CMAJ 1996;154:1677–85.
- Lichtenberg ES, Paul M. Surgical abortion prior to 7 weeks of gestation. Contraception 2013;88:7–17.
- Jones RK, Finer LB. Who has second-trimester abortions in the United States? Contraception 2012;85:544–51.
- Kiley JW, Yee LM, Niemi CM, Feinglass JM, Simon MA. Delays in request for pregnancy termination: comparison of patients in the first and second trimesters. Contraception 2010;81:446–51.
- Foster DG, Kimport K. Who seeks abortions at or after 20 weeks? Perspect Sex Reprod Health 2013;45:210–8.
- Drey EA, Foster DG, Jackson RA, Lee SJ, Cardenas LH, Darney PD. Risk factors associated with presenting for abortion in the second trimester. Obstet Gynecol 2006;107:128–35.
- Finer LB, Frohwirth LF, Dauphinee LA, Singh S, Moore AM. Timing of steps and reasons for delays in obtaining abortions in the United States. Contraception 2006;74:334–44.
- Joyce T, Kaestner R. The impact of Mississippi's mandatory delay law on the timing of abortion. Fam Plann Perspect 2000;32:4–13.
- Kaunitz AM, Rovira EZ, Grimes DA, Schulz KF. Abortions that fail. Obstet Gynecol 1985;66:533–7.
- Creinin MD, Edwards J. Early abortion: surgical and medical options. Curr Probl Obstet Gynecol Fertil 1997;20:1–32.
- Edwards J, Carson SA. New technologies permit safe abortion at less than six weeks' gestation and provide timely detection of ectopic gestation. Am J Obstet Gynecol 1997;176:1101–6.
- Paul ME, Mitchell CM, Rogers AJ, Fox MC, Lackie EG. Early surgical abortion: efficacy and safety. Am J Obstet Gynecol 2002;187:407–11.
- Paul M, Stewart FH. Abortion. In: Hatcher RA, Trussell J, Nelson AL, Cates Jr. W, Stewart F, Kowal D, editors. Contraceptive Technology, Nineteenth Revised Edition. New York: Ardent Media, Inc.; 2008. p. 637–72.
- Guttmacher Institute. State data center, trend data, abortions by state of occurrence. New York: Guttmacher Institute. Available at http://www.guttmacher.org/datacenter/trend.jsp#.
- Pazol K. Abortion surveillance in the United States: future directions and challenges. Paper presented at the annual meeting of the National Association for Public Health Statistics and Information Systems; 2010. Available at https://view.officeapps.live.com/op/view.aspx?src=http%3A%2F%2Fwww.naphsis.org%2Fmtg%2FDocuments%2FPazol_Abortion_Surveillance_6-9-10_03.ppt.
- Yunzal-Butler C, Sackoff J, Li W. Medication abortions among New York City residents, 2001-2008. Perspect Sex Reprod Health 2011;43:218–23.
- Pazol K, Creanga AA, Zane SB. Trends in use of medical abortion in the United States: reanalysis of surveillance data from the Centers for Disease Control and Prevention, 2001–2008. Contraception 2012;86:746–51.
- Bachrach CA, Newcomer S. Intended pregnancies and unintended pregnancies: distinct categories or opposite ends of a continuum? Fam Plann Perspect 1999;31:251–2.
- Dott M, Rasmussen SA, Hogue CJ, Reefhuis J. Association between pregnancy intention and reproductive-health related behaviors before and after pregnancy recognition, National Birth Defects Prevention Study, 1997–2002. Matern Child Health J 2010;14:373–81.
- Klerman LV. The intendedness of pregnancy: a concept in transition. Matern Child Health J 2000;4:155–62.
- Lifflander A, Gaydos LM, Hogue CJ. Circumstances of pregnancy: low-income pregnancies. Matern Child Health J 2007;11:81–9.
- Sable MR, Wilkinson DS. Pregnancy intentions, pregnancy attitudes, and the use of prenatal care in Missouri. Matern Child Health J 1998;2:155–65.
- Santelli J, Rochat R, Hatfield-Timajchy K, Gilbert BC, Curtis K, Cabral R, et al. The measurement and meaning of unintended pregnancy. Perspect Sex Reprod Health 2003;35:94–101.
- Santelli JS, Lindberg LD, Orr MG, Finer LB, Speizer I. Toward a multidimensional measure of pregnancy intentions: evidence from the United States. Stud Fam Plann 2009;40:87–100.
- Trussell J, Vaughan B, Stanford J. Are all contraceptive failures unintended pregnancies? Evidence from the 1995 National Survey of Family Growth. Fam Plann Perspect 1999;31:246–7, 60.
- Ventura SJ, Abma JC, Mosher WD, Henshaw SK. Estimated pregnancy rates by outcome for the United States, 1990–2004. National Vital Statistics Reports; vol 56(15).
- Finer LB, Henshaw SK. Abortion incidence and services in the United States in 2000. Perspect Sex Reprod Health 2003;35:6–15.
- Henshaw SK. Abortion incidence and services in the United States, 1995–1996. Fam Plann Perspect 1998;30:263–70, 87.
- Jones RK, Zolna MR, Henshaw SK, Finer LB. Abortion in the United States: incidence and access to services, 2005. Perspect Sex Reprod Health 2008;40:6–16.
- Joyce TJ, Henshaw SK, Dennis A, Finer LB, Blanchard K. The impact of state mandatory counseling and waiting period laws on abortion: a literature review. New York: Guttmacher Institute; 2009. Available at http://www.guttmacher.org/pubs/MandatoryCounseling.pdf.
- Dennis A, Henshaw SK, Joyce TJ, Finer LB, Blanchard K. The impact of laws requiring parental involvement for abortion: a literature review. New York: Guttmacher Institute. Available at http://www.guttmacher.org/pubs/ParentalInvolvementLaws.pdf; 2009.
- Joyce T. The supply-side economics of abortion. N Engl J Med 2011;365:1466–9.
- Martinez GM, Chandra A, Abma JC, Jones J, Mosher WD. Fertility, contraception, and fatherhood: data on men and women from Cycle 6 (2002) of the National Survey of Family Growth. Vital and Health Statistics 2006;23: 1–144.
- Ventura SJ. Changing patterns of nonmarital childbearing in the United States. NCHS data brief 2009;18:1–8.
- Moore KA. Teen births: examining the recent increase. Washington DC: The National Campaign to Prevent Teen and Unplanned Pregnancy. Available at http://www.childtrends.org/wp-content/uploads/2009/03/Child_Trends_2009_03_13_FS_TeenBirthRate.pdf; 2009.
- Yang Z, Gaydos LM. Reasons for and challenges of recent increases in teen birth rates: a study of family planning service policies and demographic changes at the state level. J Adolesc Health 2010;46:517–24.
- American College of Obstetricians and Gynecologists. Bad economy blamed for women delaying pregnancy and annual check-up: Available at http://www.acog.org/About_ACOG/News_Room/News_Releases/2009/Bad_Economy_Blamed_for_Women_Delaying_Pregnancy_and_Annual_Check-Up; 2009.
- Guttmacher Institute. A real-time look at the impact of the recession on women's family planning and pregnancy decisions. New York: Guttmacher Institute; 2009. Available at http://www.guttmacher.org/pubs/RecessionFP.pdf.
- Henshaw SK. Unintended pregnancy in the United States. Fam Plann Perspect 1998;30:24–9, 46.
- Mosher WD, Martinez GM, Chandra A, Abma JC, Willson SJ. Use of contraception and use of family planning services in the United States: 1982–2002. Advanced Data from Vital and Health Statistics 2004;350:1–46.
- Piccinino LJ, Mosher WD. Trends in contraceptive use in the United States: 1982–1995. Fam Plann Perspect 1998;30:4–10, 46.
- Jones J, Mosher WD, Daniels K. Current contraceptive use in the United States, 2006-2010, and changes in patterns of use since 1995. Natl Vital Stat Rep 2012;60.
- Trussell J. Contraceptive efficacy. In: Hatcher R, Trussell J, Nelson A, Cates W, Kowa ID, Policar M, editors. Contraceptive technology, 20th ed. Atlanta, GA: Ardent Media, Inc; 2011:779–88.
- Finer LB, Jerman J, Kavanaugh ML. Changes in use of long-acting contraceptive methods in the United States, 2007-2009. Fertil Steril 2012;98:893–7.
- Eeckhaut MC, Sweeney MM, Gipso JD. Who is using long-acting reversible contraceptive methods? Findings from nine low-fertility countries. Perspectives on Sexual and Reproductive Health 2014;46:149–55.
- Peipert JF, Madden T, Allsworth JE, Secura GM. Preventing unintended pregnancies by providing no-cost contraception. Obstet Gynecol 2012;120:1291–7.
- Secura GM, Allsworth JE, Madden T, Mullersman JL, Peipert JF. The Contraceptive CHOICE Project: reducing barriers to long-acting reversible contraception. Am J Obstet Gynecol 2010;203:115 e1–7.
* Hereafter, all abortions in this report are considered to be legally induced unless stated to be illegally induced.
† Data were not reported for ≥1 year by Alaska (2002), California (2002–2011), Louisiana (2005), Maryland (2007–2011), New Hampshire (2002–2011), and West Virginia (2003–2004).
§ Includes aspiration curettage, suction curettage, manual vacuum aspiration, menstrual extraction, sharp curettage, and dilation and evacuation procedures.
¶ Includes hysterectomy and hysterotomy and other methods that do not belong to a defined category.
** CDC collects information only on the estimated number of weeks (not days) of gestation and acknowledges the conventional use of completed weeks of gestation to describe pregnancy duration. CDC's category ≤8 weeks' gestation thus includes abortions up through 8 weeks and 6 days, which closely corresponds to the gestational age limit of 63 days for the early medical abortion protocol endorsed by the American College of Obstetricians and Gynecologists (19).
†† The cutoff of ≤12 weeks has been selected on the basis of the implausibility of this procedure being performed at earlier gestational ages, and on the basis of early research assessing the safety of intrauterine instillations starting at 13 weeks' gestation (21,22).
§§ Excludes four states that did not report or did not report by maternal residence (California, Florida, Maryland, and New Hampshire).
¶¶ States that did not report for ≥1 year since 1998 include Alaska (1998-2000), California (1998–2011), Louisiana (2005), Maryland (2007–2011), New Hampshire (1998–2011), Oklahoma (1998–1999), and West Virginia (2004–2005).
*** Excludes Alaska, California, Louisiana, Maryland, New Hampshire, and West Virginia.
††† Comparisons do not include Wyoming, which reported <20 abortions.
§§§ Comparisons by residence status do not include California, Florida, Maryland, or New Hampshire. Because these states either did not report or did not report abortions by maternal residence, numbers are available only from other states where their residents obtained abortions, and as a consequence are not complete.
¶¶¶ Excludes Alabama, Alaska, Arizona, Arkansas, California, Colorado, Delaware, Florida, Georgia, Hawaii, Illinois, Iowa, Kentucky, Louisiana, Maryland, Nevada, New Hampshire, Oklahoma, Rhode Island, Tennessee, Vermont, Wisconsin, and Wyoming.
**** Excludes Alaska, Arizona, California, Connecticut, Delaware, District of Columbia, Florida, Hawaii, Illinois, Iowa, Kentucky, Louisiana, Maine, Maryland, Massachusetts, Michigan, Nebraska, Nevada, New Hampshire, New Mexico, New York State, North Carolina, North Dakota, Oklahoma, Pennsylvania, Rhode Island, South Carolina, Vermont, Washington, Wisconsin, and Wyoming.
†††† Excludes Alaska, Arizona, Arkansas, California, Connecticut, Florida, Georgia, Louisiana, Maine, Maryland, Massachusetts, Nebraska, Nevada, New Hampshire, New York City, New York State, Rhode Island, Vermont, Washington, and Wyoming.
§§§§ Excludes Alaska, Arizona, California, Connecticut, Delaware, District of Columbia, Florida, Illinois, Maryland, Massachusetts, New Hampshire, New Mexico, New York State, North Carolina, Pennsylvania, Rhode Island, Vermont, Wisconsin, and Wyoming.
¶¶¶¶Excludes Alaska, Arizona, California, Connecticut, Delaware, District of Columbia, Florida, Georgia, Hawaii, Illinois, Louisiana, Maryland, Massachusetts, New Hampshire, New Mexico, New York City, New York State, North Carolina, Rhode Island, Vermont, Wisconsin, and Wyoming.
***** In 2011, abortions performed in California, Maryland, and New Hampshire accounted for 21% of all abortions counted through the Guttmacher Institute's national census of abortion providers (14).
††††† In 2011, the abortion counts that CDC obtained from the District of Columbia and New Jersey were 58% and 57%, respectively, of the abortion counts that the Guttmacher Institute obtained for these areas through their national census of abortion providers (14).
§§§§§ In 2011, the abortion counts CDC obtained for Wyoming were <5% of the counts obtained for this state by the Guttmacher Institute through their national census of abortion providers. CDC counts for Hawaii were 48% of the Guttmacher Institute counts. CDC counts for Alaska, Arizona, Colorado, Connecticut, Delaware, Idaho, Iowa, Louisiana, Maine, Massachusetts, Michigan, Nevada, New Mexico, New York (city and state combined), Ohio, Oregon, and West Virginia were 65% to <90% of the Guttmacher Institute counts. All other areas that provided data to CDC obtained counts that were at least 90% of the Guttmacher Institute counts (14).
¶¶¶¶¶ Because the sole distributor of mifepristone in the United States only sells this medication to licensed physicians, who must sign and return a prescriber's agreement, sales data from this company are not limited by individual state reporting requirements or the difficulties of identifying smaller providers within the wider medical community.
****** Recent estimates suggest that intended pregnancies account for <5% of all abortions (23), including those which presumably are performed for maternal medical indications and fetal abnormalities.
FIGURE 1. Number, rate, and ratio of abortions performed, by year — selected reporting areas,* United States, 2002-2011
* Data are for 46 reporting areas; excludes Alaska, California, Louisiana, Maryland, New Hampshire, and West Virginia.
† Number of abortions per 1,000 women aged 15–44 years.
§ Number of abortions per 1,000 live births.
Alternate Text: The figure is a line graph that presents the number, rate, and ratio of abortions in selected reporting areas in the United States from 2002 to 2011.
FIGURE 2. Percentage of total abortions, abortion rate, and abortion ratio, by age group of women who obtained an abortion — selected reporting areas,* United States, 2011
* Data are for 46 areas; excludes California, Florida, Maryland, New Hampshire, Vermont, and Wyoming.
† Number of abortions per 1,000 women aged 15–44 years.
§ Number of abortions per 1,000 live births.
Alternate Text: The figure is a bar chart that presents the total number of abortions, abortion rate, and abortion ratio by age group of women who had an abortion in selected reporting areas of the United States in 2011.
FIGURE 3. Percentage* distribution of gestational ages at time of abortion, by age of woman — selected reporting areas,† United States, 2011
* Based on the total number of abortions reported with known weeks of gestation.
† Data from 38 reporting areas; excludes 14 reporting areas (California, Connecticut, Florida, Illinois, Kentucky, Maryland, Massachusetts, Mississippi, Nebraska, New Hampshire, Pennsylvania, Vermont, Wisconsin, and Wyoming) that did not report, did not report by age or gestational age, or did not meet reporting standards.
Alternate Text: The figure is a bar chart that presents the percentage distribution of gestational ages at the time of abortion by the age of the woman receiving the abortion in selected reporting areas of the United States in 2011.
|
TABLE 2. (Continued) Number, rate,* and ratio† of reported abortions, by reporting area of residence and occurrence and by percentage of abortions obtained by out-of-state residents — United States, 2011 |
|||||||
|---|---|---|---|---|---|---|---|
|
State/Area |
Residence |
Occurrence |
% obtained by out-of-state residents§ |
||||
|
No. |
Rate |
Ratio |
No. |
Rate |
Ratio |
||
|
Total known |
640,879 |
NA |
NA |
NA |
NA |
NA |
NA |
|
Percentage reported by known residence |
87.8 |
NA |
NA |
NA |
NA |
NA |
NA |
|
Total unknown residence |
89,443 |
NA |
NA |
NA |
NA |
NA |
NA |
|
Out of State, exact residence not-stated |
4,666 |
NA |
NA |
NA |
NA |
NA |
NA |
|
No residence information provided |
84,777 |
NA |
NA |
NA |
NA |
NA |
NA |
|
Percentage reported by unknown residence |
12.2 |
NA |
NA |
NA |
NA |
NA |
NA |
|
Total |
730,322 |
NA |
NA |
NA |
NA |
NA |
NA |
|
Abbreviation: NA = not applicable. * Number of abortions per 1,000 women aged 15–44 years. † Number of abortions per 1,000 live births. § Additional details on the state in which abortions were provided, cross-tabulated by the state of maternal residence, are available at http://www.cdc.gov/reproductivehealth/data_stats/Abortion.htm. ¶ State did not report; because numbers for this state are available only from other states where residents obtained abortions, meaningful statistics cannot be reported. ** Because reporting is not mandatory, a complete count of abortions performed in the District of Columbia could not be obtained. †† State reported by occurrence only; because abortion counts by residence for this state are available only from other states where residents obtained abortions, meaningful statistics cannot be reported. §§ State reported abortion numbers for both in-state and out-of-state residents; for out-of-state residents, the state or area of residence was not provided. ¶¶ Data from hospitals and licensed ambulatory care facilities only; because reporting is not mandatory for private physicians and women's centers, a complete count of abortions performed in New Jersey could not be obtained. *** Total abortion count ≤20. ††† Abortion rates and ratios and percentage of abortions obtained by out-of-state residents were not calculated for Wyoming because results based on a small number of abortions are unstable. |
|||||||
|
TABLE 11. (Continued) Reported abortions, by known method type and reporting area of occurrence — selected reporting areas,* United States, 2011 |
|---|
|
Abbreviation: NA = not available. * Data from 44 reporting areas; excludes eight reporting areas (California, Florida, Illinois, Maryland, New Hampshire, Vermont, Wisconsin, and Wyoming) that did not report, did not report by method type, or did not meet reporting standards. Because four reporting areas did not include medical abortion as a separate category on their reporting form (Alabama, Hawaii, Louisiana, and Tennessee), numbers and percentages including this method are based on 40 reporting areas. † Includes aspiration curettage, suction curettage, manual vacuum aspiration, menstrual extraction, sharp curettage, and dilation and evacuation procedures. § Intrauterine instillations reported at ≤12 weeks' gestation are not presented with abortions reported by known method type. ¶ Includes hysterotomy/hysterectomy and procedures reported as "other." ** Percentages for the individual component categories might not add to 100 because of rounding and because some areas report more than one method for each abortion. †† Calculated as the number of abortions reported by known method type divided by the sum of abortions reported by known and unknown method type. §§ Numbers for medical abortion are not presented because medical abortion was not included as a separate category on the reporting form. ¶¶ Cells details not displayed because of small numbers (N = 1–4). *** Numbers for curettage procedures at ≤13 weeks versus >13 weeks and for medical abortion at ≤8 weeks versus >8 weeks are not presented because gestational age data were not provided or were provided in incompatible categories. ††† Because reporting is not mandatory, information could not be obtained for all abortions performed in the District of Columbia. §§§ Because more than one method was reported for some abortions, the sum of the individual methods exceeds the total number of abortions reported by known method type. "Other" methods might have been used concomitantly with specified method types to aid in the completion of the abortion. ¶¶¶ Data from hospitals and licensed ambulatory care facilities only; because reporting is not mandatory for private physicians and women's centers, information could not be obtained for all abortions performed in New Jersey. **** Curettage abortions reported without a gestational age were distributed among the curettage categories according to the distribution of abortions performed by curettage at known gestational age. †††† Medical abortions reported without a gestational age were distributed among the medical abortion categories according to the distribution of medical abortions at known gestational age. §§§§ Because some states reported more than one method for some abortions, the sum of the individual methods exceeds the total number of abortions reported by known method type. ¶¶¶¶ Percentage based on a total of 603,228 abortions reported among the areas that met reporting standards for method type. ***** Excludes four states (Alabama, Hawaii, Louisiana, and Tennessee) that have been included in the total for all areas reporting by method type because these states did not include medical abortion as a separate category on their reporting form. ††††† Percentage based on a total of 565,964 abortions reported among the areas that met reporting standards for method type and included medical abortion on their reporting form. |
Use of trade names and commercial sources is for identification only and does not imply endorsement by the U.S. Department of
Health and Human Services.
References to non-CDC sites on the Internet are
provided as a service to MMWR readers and do not constitute or imply
endorsement of these organizations or their programs by CDC or the U.S.
Department of Health and Human Services. CDC is not responsible for the content
of pages found at these sites. URL addresses listed in MMWR were current as of
the date of publication.
All MMWR HTML versions of articles are electronic conversions from typeset documents.
This conversion might result in character translation or format errors in the HTML version.
Users are referred to the electronic PDF version (http://www.cdc.gov/mmwr)
and/or the original MMWR paper copy for printable versions of official text, figures, and tables.
An original paper copy of this issue can be obtained from the Superintendent of Documents, U.S.
Government Printing Office (GPO), Washington, DC 20402-9371;
telephone: (202) 512-1800. Contact GPO for current prices.
**Questions or messages regarding errors in formatting should be addressed to
mmwrq@cdc.gov.


