Persons using assistive technology might not be able to fully access information in this file. For assistance, please send e-mail to: mmwrq@cdc.gov. Type 508 Accommodation and the title of the report in the subject line of e-mail.
Update: Influenza Activity — United States, September 30–November 24, 2012
CDC collects, compiles, and analyzes data on influenza activity year-round in the United States. The influenza season generally begins in the fall and continues through the winter and spring months; however, the timing and severity of circulating influenza viruses can vary by geographic location and season. Influenza viruses were detected in the United States throughout the summer months (1), and activity increased steadily during October and November. Most influenza viruses characterized thus far this season are well matched to the 2012–13 vaccine viruses. This report summarizes U.S. influenza activity* during September 30–November 24, 2012.†
Viral Surveillance
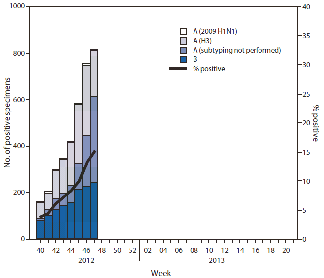
During September 30–November 24, 2012, approximately 140 World Health Organization (WHO) and National Respiratory and Enteric Virus Surveillance System collaborating laboratories in the United States tested 40,716 respiratory specimens for influenza viruses; 3,573 (8.8%) were positive (Figure 1). Of these, 2,287 (64%) were influenza A viruses, and 1,285 (36%) were influenza B viruses. Of the 2,287 influenza A viruses, 1,374 (60%) were subtyped; 1,342 (98%) of these were influenza A (H3) viruses and 32 (2%) were influenza A (H1N1)pdm09 (pH1N1) viruses. Influenza virus–positive tests have been reported from 48 states, the District of Columbia (DC), and Puerto Rico and all 10 U.S. Department of Health and Human Services (HHS) regions§ since September 30, 2012. Although influenza A viruses have predominated in the United States overall, influenza B viruses were identified more frequently than influenza A viruses in regions 6 and 8.
Novel Influenza A Viruses
One infection with an influenza A (H3N2) variant virus (H3N2v) was reported to CDC during the week ending November 24 from Iowa. Although no contact with swine or other livestock in the week preceding illness was reported, investigation into potential additional sources of infection is ongoing. No further cases have been identified in contacts of the patient. This is the first H3N2v infection reported for the 2012–13 influenza season.
Antigenic Characterization
WHO collaborating laboratories in the United States are requested to submit a subset of their influenza-positive respiratory specimens to CDC for further antigenic characterization. CDC has antigenically characterized 140 influenza viruses collected by U.S. laboratories during the 2012–13 season, including two pH1N1, 90 influenza A(H3N2), and 48 influenza B viruses. All pH1N1 and A(H3N2) viruses were antigenically related to the 2012–13 influenza A vaccine components (A/California/7/2009-like [H1N1] and A/Victoria/361/2011-like [H3N2]). Of the 48 influenza B viruses tested, 34 (71%) belong to the B/Yamagata lineage and were characterized as B/Wisconsin/1/2010-like, the influenza B component of the 2012–13 Northern Hemisphere influenza vaccine; 14 (29%) of the influenza B viruses tested belong to the B/Victoria lineage of viruses.
Antiviral Resistance of Influenza Virus Isolates
Since September 30, 2012, a total of 205 influenza viruses have been tested for antiviral resistance. Of the two pH1N1, 122 influenza A(H3N2), and 81 influenza B viruses tested, all were sensitive to both oseltamivir and zanamivir.
Outpatient Illness Surveillance
Since September 30, 2012, the weekly percentage of outpatient visits for influenza-like illness (ILI)¶ reported by approximately 1,800 U.S. Outpatient ILI Surveillance Network (ILINet) providers in 50 states, New York City, Chicago, the U.S. Virgin Islands, and the District of Columbia that comprise ILINet, has ranged from 1.2% to 2.2%. The percentage equaled the national baseline** of 2.2% during the week ending November 24, 2012 (Figure 2). Peak weekly percentages of outpatient visits for ILI ranged from 2.4% to 7.6% from the 1997–98 through 2011–12 seasons, excluding the 2009–10 pandemic. For the week ending November 24, 2012, five regions reported ILI activity above region-specific baseline levels. This is the first week this season region-specific baselines were exceeded. Data collected in ILINet are used to produce a measure of ILI activity†† by state. During the week ending November 24, 2012, five states experienced high ILI activity (Alabama, Louisiana, Mississippi, Tennessee, and Texas), two states experienced moderate ILI activity (Georgia and Missouri), and four states experienced low ILI activity (Hawaii, Ohio, Utah, and Virginia). New York City and 39 states experienced minimal ILI activity, and data were insufficient to calculate an ILI activity level from the DC.
State-Specific Spread of Influenza Activity
For the week ending November 24, 2012, the geographic spread of influenza§§ was reported as widespread in four states (Alaska, Mississippi, New York, and South Carolina), regional in seven states (Alabama, Idaho, Iowa, Maine, Massachusetts, North Carolina, and Ohio), and local in 19 states (Arkansas, Colorado, Connecticut, Georgia, Illinois, Kansas, Kentucky, Louisiana, Minnesota, Missouri, Oregon, Rhode Island, South Dakota, Tennessee, Texas, Utah, Virginia, Wisconsin and Wyoming). Sporadic influenza activity was reported by DC and 18 states; no influenza activity was reported by Guam and one state (Vermont); and Puerto Rico, the U.S. Virgin Islands, and one state (Delaware) did not report.
Pneumonia and Influenza-Related Mortality
For the week ending November 24, 2012, pneumonia and influenza (P&I) was reported as an underlying or contributing cause of death for 6.3% of all deaths reported to the 122 Cities Mortality Reporting System. This percentage is below the epidemic threshold of 6.7% for that week.¶¶ Since September 30, 2012, the weekly percentage of deaths attributed to P&I ranged from 5.8% to 6.7%, and has not exceeded the epidemic threshold for more than 1 week this season. Peak weekly percentages of deaths attributed to P&I in the previous five seasons ranged from 7.9% for the 2008–09 and 2011–12 seasons to 9.1% during the 2007–08 and 2010–11 seasons.
Influenza-Related Pediatric Mortality
As of November 24, 2012, two influenza-related pediatric deaths occurring during the 2012–13 season have been reported to CDC; one death was associated with an influenza A virus infection that was not subtyped and one was associated with an influenza A(H3N2) infection. During the 2011–12 season, a total of 34 influenza-related pediatric deaths were reported to CDC; 122 influenza-related pediatric deaths were reported for the 2010–11 season. During the 2009 pandemic, 348 pediatric deaths were reported from April 15, 2009, through October 2, 2010 (other influenza seasons include data from October through September of the following year). Before the 2009 pandemic, 67 influenza-related pediatric deaths were reported for the 2008–09 season (through April 14, 2009), and 88 pediatric deaths were reported for the 2007–08 season (3).
Reported by
World Health Organization Collaborating Center for Surveillance, Epidemiology, and Control of Influenza. Lynnette Brammer, MPH, Scott Epperson, MPH, Lenee Blanton, MPH, Krista Kniss, MPH, Desiree Mustaquim, MPH, Craig Steffens, MPH, Rosaline Dhara, MPH, Teresa Wallis, MS, Julie Villanueva, PhD, Xiyan Xu, MD, Lyn Finelli, DrPH, Larisa Gubareva, PhD, Joseph Bresee, MD, Alexander Klimov, PhD, Nancy Cox, PhD, Influenza Div, National Center for Immunization and Respiratory Diseases. Corresponding contributor: Lynnette Brammer, lsb1@cdc.gov, 404-639-3747.
Editorial Note
As measured across all CDC influenza surveillance systems in the United States, overall influenza activity so far this season is low but increasing, and expected to continue to increase in the coming weeks. During September 30–November 24, 2012, influenza A (H3N2) and influenza B viruses were identified most frequently in the United States, but pH1N1 viruses also were reported. Antigenic characterization of influenza-positive respiratory specimens submitted to CDC indicates that the majority of these isolates are antigenically similar to the 2012–13 influenza vaccine viruses. Although the timing of influenza activity is not predictable, peak activity in the United States most commonly occurs in February; however, substantial activity can occur as late as May (2). Vaccination remains the most effective method to prevent influenza and its complications. December 2–8, 2012, is National Influenza Vaccination Week. This observance serves as a reminder that health-care providers should continue to offer vaccine to all unvaccinated persons aged ≥6 months throughout the influenza season.
Antiviral medications continue to be an important adjunct to vaccination for reducing the health impact of influenza. On January 21, 2011, Advisory Committee on Immunization Practices recommendations on use of antiviral agents for treatment and chemoprophylaxis of influenza were released (4). This guidance remains in effect for the 2012–13 season. Antiviral treatment as soon as possible is recommended for patients with confirmed or suspected influenza who 1) have severe, complicated, or progressive illness; 2) who require hospitalization; or 3) who are at higher risk for influenza complications*** without waiting for confirmatory testing (4). Antiviral treatment also may be considered for outpatients with confirmed or suspected influenza who do not have known risk factors for severe illness, if treatment can be initiated within 48 hours of illness onset. Recommended antiviral medications include oseltamivir and zanamivir. All influenza viruses tested for the 2012–13 season since October 1, 2012, have been susceptible to these medications. Amantadine and rimantadine should not be used because of high levels of resistance to these drugs among circulating influenza A viruses (4). Influenza B viruses are not susceptible to amantadine or rimantadine.
Influenza surveillance reports for the United States are posted online weekly and are available at http://www.cdc.gov/flu/weekly. Additional information regarding influenza viruses, influenza surveillance, influenza vaccine, influenza antiviral medications, and novel influenza A infections in humans is available at http://www.cdc.gov/flu.
Acknowledgments
State, local, and territorial health departments and public health laboratories; US WHO collaborating laboratories; the National Respiratory and Enteric Virus Surveillance System laboratories; US Outpatient Influenza-like Illness Surveillance Network; Influenza-Associated Pediatric Mortality Surveillance System; 122 Cities Mortality Reporting System.
References
- CDC. Update: influenza activity—United States and worldwide, May 20–September 22, 2012. MMWR 2012;61:785–9.
- CDC. Prevention and control of influenza with vaccines: recommendations of the Advisory Committee on Immunization Practices (ACIP). MMWR 2010;59(No. RR-8).
- CDC. Update: influenza activity—United States, 2011–12 season and composition of the 2012–13 influenza vaccine. MMWR 2012;61:414–20.
- CDC. Antiviral agents for the treatment and chemoprophylaxis of influenza: recommendations of the Advisory Committee on Immunization Practices (ACIP). MMWR 2011;60(No. RR-1).
* The CDC influenza surveillance system collects five categories of information from eight data sources: 1) viral surveillance (World Health Organization collaborating laboratories, the National Respiratory and Enteric Virus Surveillance System, and novel influenza A virus case reporting); 2) outpatient illness surveillance (U.S. Outpatient Influenza-like Illness Surveillance Network); 3) mortality (122 Cities Mortality Reporting System and influenza-associated pediatric mortality reports); 4) hospitalizations (FluSurv-NET, which includes the Emerging Infections Program and surveillance in five additional states); and 5) summary of the geographic spread of influenza (state and territorial epidemiologist reports).
† Data as of November 29, 2012.
§ The 10 regions include the following states and territories: Region 1: Connecticut, Maine, Massachusetts, New Hampshire, Rhode Island, and Vermont; Region 2: New Jersey, New York, Puerto Rico, and the U.S. Virgin Islands; Region 3: Delaware, District of Columbia, Maryland, Pennsylvania, Virginia, and West Virginia; Region 4: Alabama, Florida, Georgia, Kentucky, Mississippi, North Carolina, South Carolina, and Tennessee; Region 5: Illinois, Indiana, Michigan, Minnesota, Ohio, and Wisconsin; Region 6: Arkansas, Louisiana, New Mexico, Oklahoma, and Texas; Region 7: Iowa, Kansas, Missouri, and Nebraska; Region 8: Colorado, Montana, North Dakota, South Dakota, Utah, and Wyoming; Region 9: Arizona, California, Hawaii, Nevada, American Samoa, Commonwealth of the Northern Mariana Islands, Federated States of Micronesia, Guam, Marshall Islands, and Republic of Palau; Region 10: Alaska, Idaho, Oregon, and Washington.
¶ Defined as a temperature ≥100°F (≥37.8°C), oral or equivalent, and cough or sore throat, without a known cause other than influenza.
** The national and regional baselines are the mean percentage of visits for ILI during noninfluenza weeks for the previous three seasons plus two standard deviations. A noninfluenza week is defined as periods of 2 or more consecutive weeks in which each week accounted for less than 2% of the season's total number of specimens that tested positive for influenza. National and regional percentages of patient visits for ILI are weighted on the basis of state population. Use of the national baseline for regional data is not appropriate.
†† Activity levels are based on the percent of outpatient visits in a state attributed to ILI and are compared with the average percent of ILI visits that occur during spring and fall weeks with little or no influenza virus circulation. Activity levels range from minimal, which would correspond to ILI activity from outpatient clinics being at or below the average, to high, which would correspond to ILI activity from outpatient clinics being much higher than the average. Because the clinical definition of ILI is very general, not all ILI is caused by influenza; however, when combined with laboratory data, the information on ILI activity provides a clearer picture of influenza activity in the United States.
§§ Levels of activity are 1) no activity; 2) sporadic: isolated laboratory-confirmed influenza cases or a laboratory-confirmed outbreak in one institution, with no increase in activity; 3) local: increased ILI, or at least two institutional outbreaks (ILI or laboratory-confirmed influenza) in one region of the state, with recent laboratory evidence of influenza in that region; virus activity no greater than sporadic in other regions; 4) regional: increased ILI activity or institutional outbreaks (ILI or laboratory-confirmed influenza) in at least two but less than half of the regions in the state with recent laboratory evidence of influenza in those regions; and 5) widespread: increased ILI activity or institutional outbreaks (ILI or laboratory-confirmed influenza) in at least half the regions in the state, with recent laboratory evidence of influenza in the state.
¶¶ The seasonal baseline proportion of P&I deaths is projected using a robust regression procedure in which a periodic regression model is applied to the observed percentage of deaths from P&I that were reported by the 122 Cities Mortality Reporting System during the preceding 5 years. The epidemic threshold is set at 1.645 standard deviations above the seasonal baseline.
*** Persons at higher risk include children aged <5 years (especially those aged <2 years); adults aged ≥65 years; persons with chronic pulmonary (including asthma), cardiovascular (except hypertension alone), renal, hepatic, hematologic (including sickle cell disease), metabolic disorders (including diabetes mellitus), or neurologic and neurodevelopment conditions (including disorders of the brain, spinal cord, peripheral nerve, and muscle, such as cerebral palsy, epilepsy [seizure disorders], stroke, intellectual disability [mental retardation], moderate to severe developmental delay, muscular dystrophy, or spinal cord injury); persons with immunosuppression, including that caused by medications or by human immunodeficiency virus infection; women who are pregnant or postpartum (within 2 weeks after delivery); persons aged ≤18 years who are receiving long-term aspirin therapy; American Indians/Alaska Natives; persons who are morbidly obese (i.e., body mass index ≥40); and residents of nursing homes and other chronic-care facilities.
What is already known on this topic?
CDC collects, compiles, and analyzes data on influenza activity year-round in the United States. The influenza season generally begins in the fall and continues through the winter and spring months; however, the timing and severity of circulating influenza viruses can vary by geographic location and season.
What is added by this report?
During September 30–November 24, 2012, influenza activity was low overall in the United States, but it began increasing in mid-November. Most of the influenza viruses characterized thus far this season are well matched to the 2012–13 vaccine viruses and sensitive to the antiviral drugs oseltamivir and zanamivir.
What are the implications for public health practice?
Influenza activity is increasing in the United States. Vaccination remains the most effective method to prevent influenza and its complications. December 2–8, 2012, is National Influenza Vaccination Week. This observance serves as a reminder that health-care providers should continue to offer vaccine to all unvaccinated persons aged ≥6 months throughout the influenza season.
FIGURE 1. Number and percentage of respiratory specimens testing positive for influenza, by type, surveillance week, and year — U.S. World Health Organization and National Respiratory and Enteric Virus Surveillance System collaborating laboratories, United States, 2012–13
Alternate Text: The figure above shows the number and percentage of respiratory specimens testing positive for influenza, by type, surveillance week, and year in the United States during 2012-13. During September 30-November 24, 2012, approximately 140 World Health Organization and National Respiratory and Enteric Virus Surveillance System collaborat¬ing laboratories in the United States tested 40,716 respiratory specimens for influenza viruses; 3,573 (8.8%) were positive.
FIGURE 2. Percentage of visits for influenza-like illness (ILI) reported by the U.S. Outpatient Influenza-like Illness Surveillance Network (ILINet), by week — United States, 2012–13 and selected previous seasons
Alternate Text: The figure above shows the percentage of visits for influenza-like illness (ILI) reported by the U.S. Outpatient Influenza-like Illness Surveillance Network during 2012-13 and selected previous seasons. Since September 30, 2012, the weekly percentage of outpatient visits for ILI reported by approximately 1,800 U.S. ILINet providers in 50 states, New York City, Chicago, the U.S. Virgin Islands, and the District of Columbia that comprise ILINet has ranged from 1.2% to 2.2%. The percentage equaled the national baseline of 2.2% during the week ending November 24, 2012.
Use of trade names and commercial sources is for identification only and does not imply endorsement by the U.S. Department of
Health and Human Services.
References to non-CDC sites on the Internet are
provided as a service to MMWR readers and do not constitute or imply
endorsement of these organizations or their programs by CDC or the U.S.
Department of Health and Human Services. CDC is not responsible for the content
of pages found at these sites. URL addresses listed in MMWR were current as of
the date of publication.
All MMWR HTML versions of articles are electronic conversions from typeset documents.
This conversion might result in character translation or format errors in the HTML version.
Users are referred to the electronic PDF version (http://www.cdc.gov/mmwr)
and/or the original MMWR paper copy for printable versions of official text, figures, and tables.
An original paper copy of this issue can be obtained from the Superintendent of Documents, U.S.
Government Printing Office (GPO), Washington, DC 20402-9371;
telephone: (202) 512-1800. Contact GPO for current prices.
**Questions or messages regarding errors in formatting should be addressed to
mmwrq@cdc.gov.


