Volume 11 — October 23, 2014
ORIGINAL RESEARCH
Trends in the Prevalence of Multiple Chronic Conditions in Taiwan From 2000 to 2010: A Population-Based Study
Navigate This Article
Serena Fu, MPH; Nicole Huang, PhD; Yiing-Jenq Chou, MD, PhD
Suggested citation for this article: Fu S, Huang N, Chou Y. Trends in the Prevalence of Multiple Chronic Conditions in Taiwan From 2000 to 2010: A Population-Based Study. Prev Chronic Dis 2014;11:140205. DOI: http://dx.doi.org/10.5888/pcd11.140205.
PEER REVIEWED
Abstract
Introduction
Chronic conditions are the leading causes of death and disability worldwide. Providing care to people diagnosed with a chronic disease is challenging, and controlling multiple chronic conditions (MCCs) can be overwhelming, particularly in rapidly aging societies. The objective of this study was to examine the prevalence of MCCs from 2000 to 2010 in Taiwan.
Methods
A random sample of 1 million representative National Health Insurance beneficiaries in 3 years (2000, 2005, and 2010) was obtained from the Taiwan National Health Insurance Research Database to examine the prevalence of MCCs. Chronic Condition Indicator and Clinical Classifications Software were used to determine and classify codes from the International Classification of Diseases, Ninth Revision. People who had 2 or more conditions among the 15 categories of conditions were defined as having MCCs.
Results
The prevalence of MCCs increased from 9.6% in 2000 to 17.1% in 2010. The highest prevalence of MCCs was found among people aged 65 years or older (42.3% in 2000 and 64.5% in 2010, a relative increase of 52.5%). However, the highest rate of increase was found among people younger than 18 years (0.5% in 2000 and 1.6% in 2010, a relative increase of 220.0%).
Conclusion
MCCs are increasingly prevalent among the older (≥65 y) population and among children and adolescents. Prevention and early intervention programs targeted to certain age groups may be required. If the increase in MCCs continues rapidly, the management of people diagnosed with MCCs would challenge the capacity of the health care system in Taiwan.
Introduction
Chronic conditions have become a major challenge to health care systems in the 21st century (1,2). The challenge is especially great among older people (those aged 65 or older); as people age, they become more susceptible to developing chronic conditions (3). Therefore, as the size of the older population increases, the prevalence of chronic conditions increases. Multiple chronic conditions (MCCs) are associated with poor health outcomes, such as unnecessary hospitalizations, duplicate treatments, conflicting instructions, functioning disability, and mortality (1,2,4,5).
Providing appropriate care to people diagnosed with a chronic disease is challenging, and controlling MCCs can be overwhelming for patients, families, providers, and society (6). People diagnosed with MCCs may have more complex clinical needs and more often receive health care services from multiple providers than people diagnosed with 1 chronic condition (3). Development of integrated health care services has emerged as an essential issue and a research priority to ensure the health of people diagnosed with MCCs and the efficient use of health care resources (5,7–9).
A first step in confronting these challenges is to provide insights into the scope of the population with MCCs (10). Several studies examined the prevalence of MCCs in Australia, Canada, Europe, and the United States (10–15). A recent review summarizing 33 population-based studies on multimorbidity in Australia, Canada, the Netherlands, Spain, Sweden, and the United States found a prevalence of MCCs ranging from 20% to 30% (1). Although much is known about the prevalence of MCCs, well-designed studies on the trends in prevalence of MCCs are scarce.
Reports on the prevalence of MCCs are based primarily on cross-sectional studies and restricted to the older population, which may be problematic for generalizing findings to the overall population. Evidence is mounting that although older people are at an especially high risk of MCCs, MCCs are also common among other age groups. Although the prevalence of MCCs increases as age increases, the absolute number of people diagnosed with MCCs is high in people younger than 65 (12,16,17). One of the most critical decisions in studying MCCs is the selection of conditions to be assessed. The selection of 12 or more conditions may result in data that do not show much variation (18). On the other hand, focusing on a small number of conditions may underestimate the true burden of MCCs. Diabetes, cardiovascular disease, hypertension, cancer, respiratory disease, joint disorders, and heart disease are the conditions most commonly studied (19). Conditions commonly found among younger people, such as eye disorders and digestive diseases, are less likely to be studied. Data collected over time on the prevalence of MCCs among the general population and all age groups can show the temporal dynamics of MCCs and improve our understanding of the magnitude of the burden.
A rapid increase in the percentage of older people and dramatic lifestyle changes in several Asian countries leave these countries with a short time to cope with the challenges of providing care to people diagnosed with MCCs. Taiwan is an illustrative example: it has one of the fastest-growing older populations in the world. Taiwan’s older population might grow faster than European and North American countries and surpass Japan to become the world’s “most aged” country by 2033 (20,21). More empirical evidence on changes in epidemiological patterns and MCCs is required to re-engineer the health care system in Taiwan, which was originally designed to handle acute and episodic diseases.
The objective of this study was to investigate trends in the prevalence of MCCs in Taiwan using nationally representative cohorts of National Health Insurance (NHI) beneficiaries.
Methods
This study was a descriptive cross-sectional analysis of prevalence estimates over time among age and sex categories in an Asian population. Taiwan implemented the NHI program in March 1995; this program offers comprehensive health insurance coverage to all residents. The NHI program covered approximately 96% of the population of 23.76 million by 2000, and today, more than 99% of the population is covered. The NHI maintains the National Health Insurance Research Database, which contains enrollment and claims data on use of inpatient, outpatient, and emergency services and prescription drugs. For research purposes every 5 years, the National Health Research Institutes randomly samples cohorts of 1 million NHI beneficiaries representative of the general Taiwanese population. For this study, we obtained data sets of 3 random samples of 1 million insurance beneficiaries in 3 years: 2000, 2005, and 2010. We excluded records for beneficiaries that lacked information on age, sex, socioeconomic status (SES), or region of residence. We found no significant difference in age or sex between the samples and all NHI beneficiaries (22).
We used the Chronic Condition Indicator (23) to determine International Classification of Diseases, Ninth Revision (ICD-9) diagnosis codes in the administrative data and to categorize ICD-9 diagnosis codes into 1 of 2 categories: chronic and nonchronic. Clinical Classifications Software (CCS) (24) was used to classify codes that indicated similar clinical characteristics into several clinically meaningful categories (Appendix). Beneficiaries who had at least 1 inpatient claim for a chronic condition and those who made at least 3 outpatient visits classified with the same CCS code for a chronic condition within 1 year were defined as patients that had a chronic condition.
There is no standard definition for MCCs. Many studies define MCCs as 2 or more conditions, and some define MCCs as 3 or more conditions. The use of 3 or more conditions may be more meaningful for clinicians than a count of 2 or more when the study population is older (18,25). Because our objective was to examine trends in the prevalence of MCCs in the general population, we chose to adopt the definition of 2 or more conditions. We also chose to study the 15 most prevalent chronic conditions among the study population (hepatitis, cancer, diabetes, hyperlipidemia, gout and other crystal arthropathies, depression, eye disorders, nervous system disorders, hypertension, heart disease, cerebrovascular disease, respiratory disease, digestive disease, genitourinary disease, and joint disorder) to reflect the overall burden and to present a comprehensive picture among all age groups. Our approach is the approach most commonly used in various relevant studies (1,26). The 15 chronic conditions selected are commonly selected in studies conducted in Taiwan (27,28). We also determined the 3 most common types of dyads and triads by age groups; these dyads and triads are not mutually exclusive (ie, an individual could be in more than 1 dyad or triad).
Information on age, sex, SES, and region of residence was obtained from the enrollment files. Age was classified into 5 categories: younger than 18 years, 18 to 24 years, 25 to 44 years, 45 to 64 years, and 65 years or older. SES was constructed on the basis of the beneficiary’s insurable wages and occupation. NHI enrollment is mainly carried out through payroll deduction for people with well-defined monthly wages and through tax payments for farmers, fishermen, and others not having a well-defined monthly wage. SES for people with well-defined monthly wages was divided into 3 categories: less than NT$ (Taiwanese new dollar) 20,000 (US$667), NT$20,000 (US$667) to NT$39,999 (US$1,333), and more than NT$39,999 (US$1,333) per month. Those without a well-defined monthly wage were farmers and fishermen, local office beneficiaries, veterans; and low-income people; they were categorized as “fixed amount.” Dependents were classified in the same category as the primary insured person. Beneficiaries were classified according to geographical region into 1 of 4 regions: northern, central, southern, and eastern. We determined the distribution of demographic characteristics for each sample according to the number of chronic conditions. To ascertain cross-sectional prevalence over time in the general population, we calculated the prevalence for each study year by dividing the number of beneficiaries diagnosed with MCCs by the total number of beneficiaries for each year. The relative change in overall MCC prevalence between 2000 and 2010 was calculated by dividing the difference between the estimate for 2000 and 2010 by the estimate for 2000 and expressed as a percentage. Age- and sex-specific prevalence was also estimated. To assess trends in prevalence rates during the study period, we used the χ2 test and when appropriate, the ptrend command in Stata (StataCorp LP). Statistical analyses were conducted using Stata version 10.0 and SAS version 9.2 (SAS Institute Inc). A P value less than .05 was considered significant.
Results
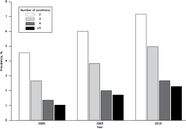
The final samples were 999,635 in 2000, 999,974 in 2005, and 999,998 in 2010 (Table 1). The mean age was 34.8 years in 2000, 36.4 years in 2005, and 38.7 years in 2010. The percentage of women increased from 48.6% in 2000 to 50.8% in 2010. The overall prevalence of MCCs increased from 9.6% in 2000 to 13.5% in 2005 and 17.1% in 2010, a relative increase of 78.1%. The prevalence of MCCs in 4 categories (2 conditions, 3 conditions, 4 conditions, or ≥5 conditions) also increased from 2000 to 2010 (Figure). The relative increase in prevalence from 2000 to 2010 ranged from 57.4% (for people with 2 conditions) to 121.0% (for people with ≥5 conditions).
Figure. Prevalence of multiple chronic conditions, by number of chronic conditions among the general population in Taiwan in 2000, 2005, 2010. Source of data: Taiwan National Health Insurance Research Database (22). [A tabular version of this figure is also available.]
The prevalence of MCCs was higher among females than among males in each study year. The overall prevalence of MCCs increased more among males (by 90.9%) than among females (by 67.3%) from 2000 to 2010. As expected, whereas 8.8% in 2000, 14.1% in 2005, and 17.1% in 2010 of those aged younger than 18 had at least 1 chronic condition, the prevalence was highest in those aged 65 or older (58.3% in 2000, 75.1% in 2005, and 80.1% in 2010). The greatest absolute increase in prevalence of MCCs was found among those aged 65 or older (from 42.3% to 64.5%), but the greatest rate of increase was found among those aged younger than 18 (from 0.5% to 1.6%, a relative increase of 220.0%), followed by the rate of increase for these age groups: 18 to 24 (by 77.8%), 25 to 44 (by 75.0%), 65 or older (by 52.5%), and 45 to 64 (by 35.4%). By income group, the prevalence of MCCs was lowest in the low-income group; the highest relative increase was found in the middle-income group. We found the largest relative and largest absolute increase in prevalence of MCCs among people residing in the eastern region.
The prevalence of MCCs varied according to age and sex (Table 2). We found a significant difference in the relative percentage change from 2000 to 2010 in the prevalence of MCCs among men (64.6%) and women (13.8%) aged 45 to 64. Whereas the prevalence of MCCs among men aged 45 to 64 increased significantly from 16.1% in 2000 to 26.5% in 2010, the prevalence among women aged 45 to 64 women was stable. By contrast, the prevalence of MCCs was similar for men and women aged 65 or older during the study period. The prevalence of MCCs among women aged 65 or older increased from 43.9% in 2000 to 65.9% in 2010, whereas the prevalence among men in this age group from 40.8% in 2000 to 63.1% in 2010.
Among children and adolescents with 2 or more MCCs, the most prevalent dyad was eye disorder/respiratory disease, followed by respiratory disease/genitourinary disease, which was also the most prevalent dyad for those aged 18 to 24 (Table 3); these combinations increased in prevalence during the study period. The most common co-occurring condition (in dyads) was genitourinary disease for those aged 25 to 44 and hypertension for those aged 45 or older. Among children and adolescents who had at least 3 chronic conditions, eye disorder/respiratory disease/genitourinary disease was the leading combination in 2005, and its prevalence increased in 2010. This triad was also one of the most prevalent among those aged 18 to 24, and its prevalence also increased during the study period. A common triad found among those aged 25 to 64 was diabetes/hyperlipidemia/hypertension; this triad more than doubled in prevalence from 2000 to 2010. Diabetes/hypertension/heart disease was prevalent among those aged 45 or older, whereas hypertension/heart disease/joint disorder was the most prevalent among those 65 or older, and its prevalence was stable during the study period.
Discussion
This study is one of the first population-based investigations of trends in the prevalence of MCCs among all age groups of a general population in Asia from 2000 to 2010. Based on the nationally representative samples of nearly 1 million beneficiaries in 2000, 2005, and 2010, the prevalence of 2 or more chronic conditions increased from 9.6% in 2000, to 13.5% in 2005 and 17.1% in 2010. Several factors may have contributed to the rise in MCCs, including the natural outcomes of the aging process and an increase in longevity among the Taiwanese. As people live longer, their likelihood of developing a chronic condition increases, and the duration of disease lengthens. The rise in the estimates of MCCs may also result from earlier and better detection of disease — which may be caused by health care promotion activities and an emerging public awareness of chronic conditions.
Most clinical guidelines for chronic diseases are principally designed to treat diseases as if they occur in isolation. This study further determined that the prevalence of MCCs surpassed the prevalence of single chronic conditions during the study period. This finding illustrates the importance of MCCs in developing treatment guidelines and reforming current clinical practices and health care systems.
In this study, estimates of the prevalence of MCCs for each age group were lower than estimates reported for Western populations. This difference may be explained by differences in ethnicity and lifestyle between Asian and Western populations (29). It is well established that a strong association exists between age and MCCs. Our study shows that the prevalence of at least 1 chronic condition among those aged younger than 18 increased from 8.8% to 17.1% from 2000 to 2010 and that more than half of people who have MCCs in Taiwan were younger than 65. These findings indicate that Taiwan must respond soon to the challenge of a rapid increase in the prevalence of MCCs.
Consistent with findings from other studies, our findings indicate that the prevalence of MCCs among women is higher than the prevalence among men, regardless of age (2,13). The “survivor effect” may provide 1 explanation for the sex difference: the longer life expectancy among women may put them at higher risk of exposure to nonfatal chronic conditions. Sex differences in behaviors of seeking health care may also explain sex differences in the prevalence of MCCs. For example, women may be more likely than men to use ambulatory care services; thus, their chronic conditions may be detected more easily than those of men (1,30).
This study has several strengths. One, we used a nationally representative sample and a large sample size, which enabled us to generalize our findings and assess the prevalence of MCCs among various age groups. Two, the NHI database allowed us to observe prevalence over time. Three, we used a small number but a large spectrum of chronic conditions recommended for measuring the prevalence of MCCs (18). The prevalence of MCCs reported here was based on a list of chronic conditions that included the most prevalent conditions in Taiwan; thus, our findings are representative of the actual prevalence among the general population. Four, our study gives a first insight into the trends in the most common types of dyads and triads of chronic conditions by age group; understanding disease patterns over time for each age group is critical. Five, our study not only highlights the disease combinations that require the greatest health care but also serves as a direction for the future design of best practice guidelines.
Our study has several limitations. One, by counting the number of chronic conditions, we scored all conditions equally and did not consider the severity of any condition. Two, our study was based exclusively on administrative claims data; a limitation of claims data is the potential unreliability of the information on diagnoses, which may lead to misclassification and intentional or unintentional bias. We attempted to reduce such bias by adding strict criteria to the definition of chronic conditions, and to minimize misclassification, we included only patients who had at least 1 inpatient claim and patients who had 3 outpatient diagnoses. Thus, the prevalence of MCCs measured in our study may be underestimated.
Despite these limitations, our study contributes to the literature by presenting a comprehensive picture of the prevalence of MCCs during 10 years. The aging of the baby-boomer population is expected to cause a large burden of MCCs. Several Asian countries, including Taiwan, provide examples of such rapidly aging baby-boomer populations. As greater numbers of older people live longer, and as lifestyles continue to modernize, a rise in the prevalence of MCCs is foreseen. We also foresee a rise among the younger population. The increasing prevalence of MCCs challenges the health care system to provide timely and appropriate care. Knowledge about disease patterns can help optimize preventive strategies and early recognition of concurrent conditions. Further research is required to improve understanding of MCCs and organize health care systems for people who have them.
Acknowledgments
We acknowledge the assistance and logistical support provided by Institute of Public Health, School of Medicine, National Yang Ming University. This study is financially supported by the National Science Council in Taiwan.
Author Information
Corresponding Author: Yiing-Jenq Chou, MD, PhD, Institute of Public Health, School of Medicine, National Yang Ming University, No. 155, Section 2, Li-Nong St, Taipei 112, Taiwan. Telephone: 886-2-28267017. E-mail: yjchou@ym.edu.tw.
Author Affiliations: Serena Fu, Institute of Public Health, School of Medicine, National Yang Ming University, Taipei, Taiwan; Nicole Huang, Institute of Public Health, School of Medicine, National Yang Ming University, and Taipei City Hospital, Taipei, Taiwan.
References
- Marengoni A, Angleman S, Melis R, Mangialasche F, Karp A, Garmen A, et al. Aging with multimorbidity: a systematic review of the literature. Ageing Res Rev 2011;10(4):430–9. CrossRef PubMed
- Robert Wood Johnson Foundation. Chronic conditions: making the case for ongoing care: Partnership for Solutions, Johns Hopkins University; 2010. http://www.rwjf.org/content/dam/farm/reports/reports/2010/rwjf54583. Accessed December 1, 2012.
- Wolff JL, Starfield B, Anderson G. Prevalence, expenditures, and complications of multiple chronic conditions in the elderly. Arch Intern Med 2002;162(20):2269–76. CrossRef PubMed
- Gijsen R, Hoeymans N, Schellevis FG, Ruwaard D, Satariano WA, van den Bos GA. Causes and consequences of comorbidity: a review. J Clin Epidemiol 2001;54(7):661–74. CrossRef PubMed
- Multiple chronic conditions — a strategic framework: optimum health and quality of life for individuals with multiple chronic conditions. US Department of Health and Human Services; 2010. http://www.hhs.gov/ash/initiatives/mcc/mcc_framework.pdf. Accessed August 27, 2014.
- Anderson GF. Physician, public, and policymaker perspectives on chronic conditions. Arch Intern Med 2003;163(4):437–42. CrossRef PubMed
- Norris SL, High K, Gill TM, Hennessy S, Kutner JS, Reuben DB, et al. Health care for older Americans with multiple chronic conditions: a research agenda. J Am Geriatr Soc 2008;56(1):149–59. CrossRef PubMed
- Parekh AK, Goodman RA, Gordon C, Koh HK. Managing multiple chronic conditions: a strategic framework for improving health outcomes and quality of life. Public Health Rep 2011;126(4):460–71. PubMed
- Cynthia M, Boyd MF. Future of multimorbidity research: how should understanding of multimorbidity inform health system design? Public Health Rev 2010;32(2):451–74.
- van Oostrom SH, Picavet HS, van Gelder BM, Lemmens LC, Hoeymans N, van Dijk CE, et al. Multimorbidity and comorbidity in the Dutch population — data from general practices. BMC Public Health 2012;12:715. CrossRef PubMed
- Britt HC, Harrison CM, Miller GC, Knox SA. Prevalence and patterns of multimorbidity in Australia. Med J Aust 2008;189(2):72–7. PubMed
- Taylor AW, Price K, Gill TK, Adams R, Pilkington R, Carrangis N, et al. Multimorbidity — not just an older person’s issue. Results from an Australian biomedical study. BMC Public Health 2010;10:718. CrossRef PubMed
- Fortin M, Hudon C, Haggerty J, Akker M, Almirall J. Prevalence estimates of multimorbidity: a comparative study of two sources. BMC Health Serv Res 2010;10:111. CrossRef PubMed
- Ward BW, Schiller JS. Prevalence of multiple chronic conditions among US adults: estimates from the National Health Interview Survey, 2010. Prev Chronic Dis 2013;10:E65.
- Hwang W, Weller W, Ireys H, Anderson G. Out-of-pocket medical spending for care of chronic conditions. Health Aff (Millwood) 2001;20(6):267–78. PubMed
- Hoffman C, Rice D, Sung HY. Persons with chronic conditions. Their prevalence and costs. JAMA 1996;276(18):1473–9. CrossRef PubMed
- Barnett K, Mercer SW, Norbury M, Watt G, Wyke S, Guthrie B. Epidemiology of multimorbidity and implications for health care, research, and medical education: a cross-sectional study. Lancet 2012;380(9836):37–43. CrossRef PubMed
- Fortin M, Stewart M, Poitras ME, Almirall J, Maddocks H. A systematic review of prevalence studies on multimorbidity: toward a more uniform methodology. Ann Fam Med 2012;10(2):142–51. CrossRef PubMed
- Diederichs C, Berger K, Bartels DB. The measurement of multiple chronic diseases — a systematic review on existing multimorbidity indices. J Gerontol A Biol Sci Med Sci 2011;66(3):301–11. CrossRef PubMed
- Talk of the day — Taiwan’s population aging too fast. Central News Agency; 2012. http://www.taiwannews.com.tw/etn/news_content.php?id=1978948. Accessed June 1, 2013.
- Taiwan aging society will be place world no. 1 in 22 years. Taiwan News; 2011. http://www.taiwannews.com.tw/etn/news_content.php?id=1717778. Accessed June 1, 2013.
- National Health Insurance Research Database. Taiwan National Health Research Institutes. http://nhird.nhri.org.tw/en/Data_Subsets.html#S3. Accessed June 1, 2013.
- Chronic Condition Indicator (CCI). Healthcare Cost and Utilization Project. Agency for Healthcare Research and Quality. http://www.hcup-us.ahrq.gov/toolssoftware/chronic/chronic.jsp. Accessed December 1, 2012.
- Chronic Condition Software (CCS). Healthcare Cost and Utilization Project. Agency for Healthcare Research and Quality. http://www.hcup-us.ahrq.gov/toolssoftware/ccs/ccs.jsp. Accessed December 1, 2012.
- van den Bussche H, Koller D, Kolonko T, Hansen H, Wegscheider K, Glaeske G, et al. Which chronic diseases and disease combinations are specific to multimorbidity in the elderly? Results of a claims data based cross-sectional study in Germany. BMC Public Health 2011;11(1):101. CrossRef PubMed
- Huntley AL, Johnson R, Purdy S, Valderas JM, Salisbury C. Measures of multimorbidity and morbidity burden for use in primary care and community settings: a systematic review and guide. Ann Fam Med 2012;10(2):134–41. CrossRef PubMed
- Chi MJ, Lee CY, Wu SC. The prevalence of chronic conditions and medical expenditures of the elderly by chronic condition indicator (CCI). Arch Gerontol Geriatr 2011;52(3):284–9. CrossRef PubMed
- Chi MJ, Lee CY, Wu SC. Multiple morbidity combinations impact on medical expenditures among older adults. Arch Gerontol Geriatr 2011;52(3):e210–4. CrossRef PubMed
- Balluz LS, Okoro CA, Mokdad A. Association between selected unhealthy lifestyle factors, body mass index, and chronic health conditions among individuals 50 years of age or older, by race/ethnicity. Ethn Dis 2008;18(4):450–7. PubMed
- Khanam MA, Streatfield PK, Kabir ZN, Qiu C, Cornelius C, Wahlin A. Prevalence and patterns of multimorbidity among elderly people in rural Bangladesh: a cross-sectional study. J Health Popul Nutr 2011;29(4):406–14. CrossRef PubMed
Tables
Table 1. Selected Demographic Characteristics of Samples, by Number of Chronic Conditions in 2000, 2005, and 2010, Taiwana,b
| Characteristic | 2000 (N = 999,635) | 2005 (N = 999,974) | 2010 (N = 999,998) | P Valuec | ||||||
|---|---|---|---|---|---|---|---|---|---|---|
| No. of Chronic Conditions | No. of Chronic Conditions | No. of Chronic Conditions | ||||||||
| 1 | 2–5 | >5 | 1 | 2–5 | >5 | 1 | 2–5 | >5 | ||
| No. of people | 118,118 | 91,924 | 4,062 | 150,196 | 128,256 | 7,134 | 158,351 | 161,139 | 9,658 | — |
| Overall prevalence | 11.8 | 9.2 | 0.4 | 15.0 | 12.8 | 0.7 | 15.8 | 16.1 | 1.0 | <.001 |
| Sex | ||||||||||
| Female | 14.0 | 10.0 | 0.4 | 17.1 | 13.3 | 0.7 | 18.0 | 16.5 | 0.9 | <.001 |
| Male | 9.7 | 8.4 | 0.4 | 12.9 | 12.4 | 0.8 | 13.6 | 15.7 | 1.1 | <.001 |
| Mean age, y | 40.4 | 60.3 | 69.8 | 39.3 | 60.3 | 71.1 | 40.1 | 60.8 | 71.7 | — |
| Age group | ||||||||||
| <18 y | 8.3 | 0.5 | 0.0 | 13.0 | 1.1 | 0.0 | 15.5 | 1.6 | 0.0 | <.001 |
| 18–24 y | 8.0 | 0.9 | 0.0 | 11.3 | 1.5 | 0.0 | 11.3 | 1.6 | 0.0 | <.001 |
| 25–44 y | 10.8 | 3.2 | 0.0 | 14.0 | 4.7 | 0.0 | 14.9 | 5.6 | 0.0 | <.001 |
| 45–64 y | 17.8 | 19.0 | 0.5 | 18.8 | 22.0 | 0.7 | 18.8 | 25.5 | 0.9 | <.001 |
| ≥65 y | 16.0 | 39.4 | 2.9 | 17.4 | 52.6 | 5.1 | 15.6 | 58.4 | 6.1 | <.001 |
| Socioeconomic statusd | ||||||||||
| <$20,000 | 10.5 | 6.1 | 0.2 | 14.1 | 8.1 | 0.3 | 14.2 | 7.7 | 0.3 | <.001 |
| $20,000–$39,999 | 12.0 | 7.0 | 0.2 | 15.4 | 10.5 | 0.4 | 16.6 | 13.2 | 0.6 | <.001 |
| ≥40,000 | 13.3 | 9.1 | 0.3 | 15.9 | 12.0 | 0.5 | 17.2 | 15.7 | 0.7 | <.001 |
| Fixed | 12.4 | 14.6 | 0.8 | 15.0 | 19.4 | 1.5 | 14.7 | 23.9 | 1.9 | <.001 |
| Region | ||||||||||
| Northern | 11.5 | 8.6 | 0.4 | 14.5 | 11.9 | 0.6 | 15.4 | 15.1 | 0.9 | <.001 |
| Central | 11.8 | 9.1 | 0.4 | 15.6 | 12.7 | 0.6 | 16.5 | 16.0 | 0.9 | <.001 |
| Southern | 12.3 | 10.2 | 0.5 | 15.7 | 14.4 | 0.9 | 16.3 | 17.8 | 1.1 | <.001 |
| Eastern | 11.9 | 11.0 | 0.4 | 14.6 | 15.6 | 0.8 | 15.2 | 20.0 | 1.3 | <.001 |
Abbreviations: N, number; SES, socioeconomic status.
a Three sets of random samples of National Health Insurance beneficiaries were obtained from the Taiwan National Health Insurance Research Database (22).
b All values are percentages unless otherwise indicated.
c The trend for 2 to 5 chronic conditions was tested by χ2.
d Socioeconomic status was constructed on the basis of the beneficiary’s insurable wages and occupation. For people with well-defined monthly wages, it was divided into 3 categories: less than NT$ (Taiwanese new dollar) 20,000, NT$20,000 to NT$39,999, and more than NT$39,999. Those without a well-defined monthly wage were farmers and fishermen, local office beneficiaries, veterans; and low-income people; they were categorized as “fixed amount.”
Table 2. Age- and Sex-Specific Prevalence of Multiple Chronic Conditions in 2000, 2005, and 2010, Taiwana
| Age and Sex | 2000 | 2005 | 2010 | Relative Change From 2000 to 2010, % | P for Trend | |||
|---|---|---|---|---|---|---|---|---|
| Sample, n | Prevalence, n (%) | Sample, n | Prevalence, n (%) | Sample, n | Prevalence, n (%) | |||
| Female | ||||||||
| <18 y | 109,698 | 484 (0.4) | 101,358 | 976 (1.0) | 86,668 | 1,236 (1.4) | 223.2 | <.001 |
| 18–24 y | 58,289 | 650 (1.1) | 53,950 | 918 (1.7) | 47,795 | 989 (2.1) | 85.6 | <.001 |
| 25–44 y | 171,931 | 5,836 (3.4) | 175,831 | 8,134 (4.6) | 173,037 | 9,633 (5.6) | 64.0 | <.001 |
| 45–64 y | 97,768 | 22,496 (23.0) | 119,202 | 28,490 (23.9) | 139,687 | 36,588 (26.2) | 13.8 | <.001 |
| ≥65 y | 48,286 | 21,173 (43.9) | 53,829 | 31,660 (58.8) | 60,388 | 39,780 (65.9) | 50.2 | <.001 |
| All | 485,972 | 50,639 (10.4) | 504,170 | 70,178 (13.9) | 507,575 | 88,226 (17.4) | 66.8 | <.001 |
| Male | ||||||||
| <18 y | 119,158 | 714 (0.6) | 110,855 | 1,327 (1.2) | 95,091 | 1,585 (1.7) | 178.2 | <.001 |
| 18–24 y | 61,327 | 386 (0.6) | 47,296 | 574 (1.2) | 45,007 | 493 (1.1) | 74.0 | <.001 |
| 25–44 y | 178,396 | 5,572 (3.1) | 166,698 | 7,980 (4.8) | 159,359 | 8,981 (5.6) | 80.4 | <.001 |
| 45–64 y | 99,120 | 15,944 (16.1) | 117,483 | 25,098 (21.4) | 137,195 | 36,316 (26.5) | 64.6 | <.001 |
| ≥65 y | 55,662 | 22,731 (40.8) | 53,472 | 30,233 (56.5) | 55,771 | 35,196 (63.1) | 54.5 | <.001 |
| All | 513,663 | 45,347 (8.8) | 495,804 | 65,212 (13.2) | 492,423 | 82,571 (16.8) | 89.9 | <.001 |
a Three sets of random samples of National Health Insurance beneficiaries were obtained from the Taiwan National Health Insurance Research Database (22).
Table 3. Most Prevalent Dyads of Chronic Conditions Among People With 2 or More Chronic Conditions and Most Prevalent Triads Among People With 3 or More Chronic Conditions, by Age Group in 2000, 2005, and 2010, Taiwana,b
| Age Group | 2000 | 2005 | 2010 | |||
|---|---|---|---|---|---|---|
| Dyads | ||||||
| <18 y | Eye/Resp | 667 (55.7) | Eye/Resp | 1,434 (62.3) | Eye/Resp | 1,783 (63.2) |
| Resp/Genito | 114 (9.5) | Resp/Genito | 233 (10.1) | Resp/Genito | 271 (9.6) | |
| Resp/Digest | 102 (8.5) | Resp/Digest | 191 (8.3) | Resp/Digest | 209 (7.4) | |
| 18–24 y | Resp/Genito | 137 (13.2) | Resp/Genito | 288 (19.3) | Resp/Genito | 336 (22.7) |
| Eye/Genito | 94 (9.1) | Eye/Genito | 142 (9.5) | Eye/Resp | 158 (10.7) | |
| Eye/Resp | 71 (6.9) | Eye/Resp | 116 (7.8) | Eye/Genito | 129 (8.7) | |
| 25–44 y | Hepa/Digest | 836 (7.3) | Resp/Genito | 1,388 (8.6) | Resp/Genito | 1,837 (9.9) |
| Depress/Digest | 803 (7.0) | HLD/HTN | 1,088 (6.8) | HLD/HTN | 1,747 (9.4) | |
| Resp/Genito | 704 (6.2) | Hepa/Digest | 1,022 (6.3) | Diabetes/HLD | 1,508 (8.1) | |
| 45–64 y | Genito/Joint | 5,739 (14.9) | Diabetes/HTN | 8,842 (16.5) | HLD/HTN | 16,130 (22.1) |
| Diabetes/HTN | 5,006 (13.0) | HLD/HTN | 8,504 (15.9) | Diabetes/HTN | 13,962 (19.2) | |
| HTN/Heart | 4,911 (12.8) | HTN/Heart | 7,301 (13.6) | Diabetes/HLD | 11,900 (16.3) | |
| ≥65 y | HTN/Heart | 10,632 (24.2) | HTN/Heart | 15,400 (24.9) | Diabetes/HTN | 18,521 (24.7) |
| HTN/Joint | 8,260 (18.8) | HTN/Joint | 13,127 (21.2) | HTN/Heart | 18,334 (24.5) | |
| Diabetes/ HTN | 7,800 (17.8) | Diabetes/HTN | 13,084 (21.1) | HTN/Joint | 16,678 (22.2) | |
| Triads | ||||||
| <18 y | Depress/Resp/Digest | 3 (6.5) | Eye/Resp/Genito | 20 (17.7) | Eye/Resp/Genito | 29 (20.9) |
| Depress/Digest/Genito | 3 (6.5) | Eye/Resp/Digest | 17 (15.0) | Eye/Resp/Digest | 17 (12.2) | |
| Heart/Resp/Digest | 3 (6.5) | Resp/Digest/Genito | 8 (7.1) | Depress/Eye/Resp | 13 (9.4) | |
| 18–24 y | Depress/Resp/Digest | 8 (6.4) | Depress/Resp/Genito | 18 (8.2) | Eye/Resp/Genito | 20 (9.5) |
| Eye/Resp/Genito | 8 (6.4) | Eye/Resp/Genito | 17 (7.7) | Resp/Digest/Genito | 14 (6.6) | |
| Hepa/HLD/Gout | 7 (5.6) | Hepa/HLD/Gout | 12 (5.5) | Depress/Resp/Digest | 12 (5.7) | |
| 25–44 y | Diabetes/HLD/HTN | 123 (3.7) | Diabetes/HLD/HTN | 272 (5.6) | Diabetes/HLD/HTN | 562 (9.6) |
| Depress/HTN/Heart | 114 (3.4) | HLD/Gout/HTN | 190 (3.9) | HLD/Gout/HTN | 263 (4.5) | |
| Hepa/Depress/Digest | 113 (3.4) | HLD/HTN/Heart | 187 (3.9) | HLD/HTN/Heart | 221 (3.8) | |
| 45–64 y | HTN/Genito/Joint | 1,274 (6.8) | Diabetes/HLD/HTN | 3,344 (12.1) | Diabetes/HLD/HTN | 6,619 (16.7) |
| Diabetes/HLD/HTN | 1,220 (6.6) | HLD/HTN/Heart | 1,963 (7.1) | HLD/HTN/Heart | 3,240 (8.2) | |
| Diabetes/HTN/Heart | 1,078 (5.8) | Diabetes/HTN/Heart | 1,761 (6.4) | Diabetes/HTN/Heart | 2,394 (6.0) | |
| ≥65 y | HTN/Heart/Joint | 3,039 (10.7) | HTN/Heart/Joint | 4,642 (10.9) | Diabetes/HLD/HTN | 6,488 (12.1) |
| HTN/Heart/Resp | 2,641 (9.3) | Diabetes/HTN/Heart | 4,247 (10.0) | HTN/Heart/Joint | 5,704 (10.7) | |
| Diabetes/HTN/Heart | 2,574 (9.1) | Eye/HTN/Heart | 3,934 (9.2) | Diabetes/HTN/Heart | 5,584 (10.5) | |
Abbreviations: Eye, eye disorder; Resp, respiratory disease; Genito, genitourinary disease; Digest, digestive disease; Hepa, hepatitis; Depress, depression; HLD, hyperlipidemia; HTN, hypertension; Joint, joint disorder; Heart, heart disease; Gout, gout and other crystal arthropathies.
a All values are number (percentage).
b Three sets of random samples of National Health Insurance beneficiaries were obtained from the Taiwan National Health Insurance Research Database (22).
Appendix.
Selection of 15 Chronic Conditions by Clinical Classification Software (CCS)
Code
| Hepatitis | 1.3 |
|---|---|
| Cancer | 2.1, 2.2, 2.3, 2.4, 2.5, 2.6, 2.7, 2.8, 2.9, 2.10, 2.11, 2.12, 2.13, 2.14, 2.15, 2.16 |
| Diabetes | 3.2, 3.3 |
| Hyperlipidemia | 3.6 |
| Gout and other crystal arthropathies | 3.7 |
| Depression | 5.2, 5.8 |
| Eye disorder | 6.7 |
| Nervous system disorders | 6.9 |
| Hypertension | 7.1 |
| Heart disease | 7.2 |
| Cerebrovascular disease | 7.3 |
| Respiratory disease | 8.1, 8.2, 8.3, 8.4, 8.5, 8.6, 8.7, 8.8, 8.9 |
| Digestive disease | 9.1, 9.2, 9.3, 9.4, 9.5, 9.6, 9.7, 9.8, 9.9, 9.10, 9.11, 9.12 |
| Genitourinary disease | 10.1, 10.2, 10.3 |
| Joint disorder | 13.2, 13.3, 13.4 |
The opinions expressed by authors contributing to this journal do not necessarily reflect the opinions of the U.S. Department of Health and Human Services, the Public Health Service, the Centers for Disease Control and Prevention, or the authors' affiliated institutions.



