Volume 11 — December 31, 2014
ORIGINAL RESEARCH
Temporal Trends in Fast-Food Restaurant Energy, Sodium, Saturated Fat, and Trans Fat Content, United States, 1996–2013
Navigate This Article

The fast food facts from this article are broken down in this easy-to-read infographic [PDF – 376 KB].
Lorien E. Urban, PhD; Susan B. Roberts, PhD; Jamie L. Fierstein, MS; Christine E. Gary, MS; Alice H. Lichtenstein, DSc
Suggested citation for this article: Urban LE, Roberts SB, Fierstein JL, Gary CE, Lichtenstein AH. Temporal Trends in Fast-Food Restaurant Energy, Sodium, Saturated Fat, and Trans Fat Content, United States, 1996–2013. Prev Chronic Dis 2014;11:140202. DOI: http://dx.doi.org/10.5888/pcd11.140202.
PEER REVIEWED
Abstract
Introduction
Excess intakes of energy, sodium, saturated fat, and trans fat are associated with increased risk for cardiometabolic syndrome. Trends in fast-food restaurant portion sizes can inform policy decisions. We examined the variability of popular food items in 3 fast-food restaurants in the United States by portion size during the past 18 years.
Methods
Items from 3 national fast-food chains were selected: French fries, cheeseburgers, grilled chicken sandwich, and regular cola. Data on energy, sodium, saturated fat, and trans fat content were collated from 1996 through 2013 using an archival website. Time trends were assessed using simple linear regression models, using energy or a nutrient component as the dependent variable and the year as the independent variable.
Results
For most items, energy content per serving differed among chain restaurants for all menu items (P ≤ .04); energy content of 56% of items decreased (β range, −0.1 to −5.8 kcal) and the content of 44% increased (β range, 0.6–10.6 kcal). For sodium, the content of 18% of the items significantly decreased (β range, −4.1 to −24.0 mg) and the content for 33% increased (β range, 1.9–29.6 mg). Absolute differences were modest. The saturated and trans fat content, post-2009, was modest for French fries. In 2013, the energy content of a large-sized bundled meal (cheeseburger, French fries, and regular cola) represented 65% to 80% of a 2,000-calorie-per-day diet, and sodium content represented 63% to 91% of the 2,300-mg-per-day recommendation and 97% to 139% of the 1,500-mg-per-day recommendation.
Conclusion
Findings suggest that efforts to promote reductions in energy, sodium, saturated fat, and trans fat intakes need to be shifted from emphasizing portion-size labels to additional factors such as total calories, frequency of eating, number of items ordered, menu choices, and energy-containing beverages.
Introduction
Excess intakes of energy, sodium, saturated fat, and trans fat are associated with elevated risk for cardiometabolic disorders (1–3). For this reason, Dietary Guidelines for Americans (1) and health advocacy organizations (4–6) recommend limiting intakes and maintaining a healthy weight. Nevertheless, intakes of these nutrients exceed recommendations (1–7).
The contribution of away-from-home foods to total energy has nearly doubled in the past 30 years, rising from 18% in 1977 to 33% in 2010 (8,9), and fast food in particular has historically contributed a disproportional amount of dietary sodium, saturated fat, and trans fat (10–12), making these foods a target for modification. Although there has been progress in this area, including an increase in the number of “healthier” offerings, sales for the most frequently ordered items from fast-food restaurants remain strong (15).
One area that has gained attention is the portion size (ie, amount served to customer) of frequently ordered items. Between 1998 and 2006, fast-food retailers attempted to minimize publicizing the issue of changing portion sizes by redesignating sizing (eg, medium renamed small), which resulted in an increase of portion sizes in absolute terms (13). Little information exists for trends in the energy content of fast-food items since 2006 or trends in the amounts of sodium, saturated fat, and trans fat in fast-food menu items over time. These data are important because, in addition to changes in menu options, they can be used as an indicator of whether foods as served outside the home have been modified to be consistent with population-wide dietary guidance. They also provide a basis on which to evaluate industry trends and provide data to inform public health campaigns and clinical programs designed to promote improvements in dietary patterns.
Our aim was to collate available data for energy, saturated fat, trans fat, and sodium for some of the most frequently ordered fast-food items from 3 national fast-food chains by portion size and describe trends over a 18-year period from 1996 through 2013.
Methods
Three fast-food chain restaurants (designated Chain A, Chain B, and Chain C) were selected as examples on the basis of their offering similar menu items, having a national presence, and being in the top 10 for total US sales revenue (14). Chain A was identified as the top restaurant on the basis of sales; the other restaurants were then chosen according to the criteria described above. The most commonly ordered menu items offered according to a recent report (15) included French fries (fried potatoes; small, medium, and large), cheeseburger (approximately 2 oz and 4 oz, uncooked beef weight), grilled chicken sandwich (1 available size), and regular cola drink (small, medium, and large). To obtain objective and complete information, the Wayback Machine (http://www.archive.org/web/web.php) was used to collate data for energy (kcal/portion), sodium (mg/portion), saturated fat (g/portion), and trans fat (g/portion). The Wayback Machine is a publicly available web archive database that includes information, in this case, from company websites. For the 4% of data not available from the Wayback Machine website, nutrition information was obtained directly from restaurant websites or found at other Internet sites.
Our analysis included 3 food items for energy, sodium, saturated fat, and trans fat; 1 beverage item was included in the energy analysis only, because the sodium content of cola beverages is low and may vary by local water supply, and the beverage did not contain fat. Because fast-food restaurant orders and special offers frequently include a cheeseburger, French fries, and regular cola (bundled meal), we assessed the combined energy, sodium, saturated fat, and trans fat amounts and calculated the relative contribution of each in each chain for small and large portions.
Time trends were assessed for energy, sodium, saturated fat, and trans fat per serving for individual menu items at each chain using simple linear regression models in which energy content or the nutrient was the dependent variable and year was the independent variable. Differences among chains for individual menu items were assessed using analysis of variance for the mean energy or nutrient components across the 18-year period, and the Tukey post hoc procedure was used to control for multiple comparisons. Statistical analyses were performed using SAS 9.3 (SAS Institute Inc).
Results
Individual menu items
Energy
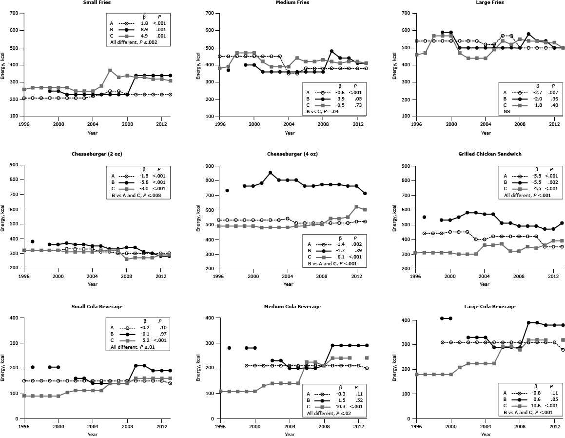
The energy content of the 27 items examined differed among chain restaurants for all menu items (P ≤ .04) except for large French fries. The energy content of 15 items (56%) decreased over the 18-year period (β range, −0.1 to −5.8 kcal); of these, the differences were significant for 8 items (30%; β range, −0.6 to −5.8 kcal, P < .01) (Figure 1). For items whose energy content decreased, 5 items were offered at Chain A, 2 items at Chain B, and 1 item at Chain C. The energy content of 12 items (44%) increased over the 18-year period (β range, 0.6–10.6 kcal); of these, the differences were significant for 9 items (33%) (β range, 1.8–10.6 kcal, P ≤ .05). For items whose energy content increased, 6 items were offered at Chain C, whereas Chain A offered 1 item and Chain B offered 2 items. In absolute terms, a similar number of items increased and decreased in energy content, and the mean changes were modest.
Figure 1. Energy content (kcal per portion) for popular menu items at 3 large, national fast-food chains. Energy content for 3 sizes of French fries (small, medium, large); 2 sizes of cheeseburgers (2 oz, 4 oz); 1 size of grilled chicken sandwich; and 3 sizes of cola beverages (small, medium, large) from chains A, B, and C from 1996 through 2013. β estimates and P values derived from individual simple linear models; chain comparison P values derived from ANOVA (analysis of variance) models comparing mean values between restaurants. Dashes indicate that data were not available; blank cells indicate that the item was not offered for the year(s). Abbreviations: S, small; M, medium; L, large; NS, nonsignificant. a Difference is between Chain B versus Chain C. b Difference is between Chain B versus Chains A and C. [A tabular version and a high resolution image of this figure are also available.]
No one-time trend characterized the changes that occurred across chains. For example, the final energy content in 2013 of small French fries at chains A, B, and C was 20 kcal, 90 kcal, and 50 kcal higher, respectively, than in 1996 (all P ≤ .001) (Figure 1). For large French fries, the time trend changes were significant only for Chain A (P = .007), and for that chain the final energy content was 40 kcal lower in 2013 than in 1996. For cola we found a significant difference in time trends among the 3 restaurant chains (P ≤ .01).
Sodium
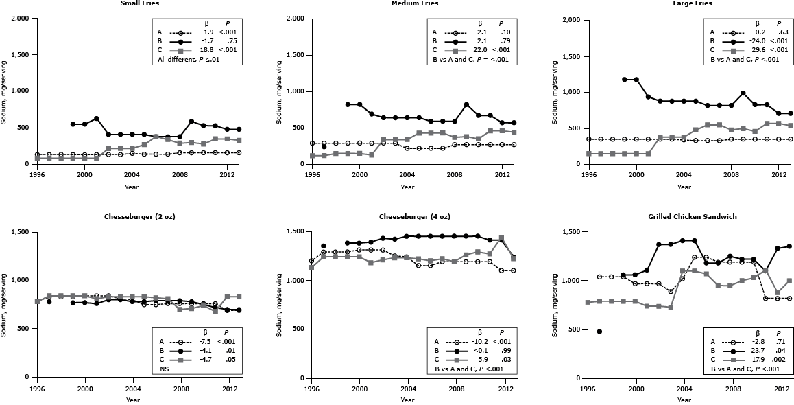
Of the 18 items examined for sodium, the sodium content of 5 (27%) items decreased significantly (β range, −4.1 to −24.0 mg, P ≤ .05) (Figure 2). In contrast, the sodium content of 7 (39%) items significantly increased (β range, 1.9–29.6 mg, P ≤ .04). Average sodium content differed among chains for all individual menu items (P ≤ .01) except the 2-oz cheeseburger. We found marked heterogeneity among chains.
Figure 2. Sodium content (mg per portion) for popular menu items at 3 large, national fast-food chains. Sodium content for 3 sizes of French fries (small, medium, large), 2 sizes of cheeseburgers (2 oz, 4 oz), and 1 size of grilled chicken sandwich from Chains A, B, and C from 1996 through 2013. β estimates and P values derived from individual simple linear models, with energy as the dependent variable and time as the independent variable; chain comparison P values derived from ANOVA (analysis of variance) models comparing mean values between restaurants. Dashes indicate that data were not available; blank cells indicate that the item was not offered for the year(s). Abbreviation: NS, nonsignificant. a Difference is between Chain B versus Chains A and C. [A tabular version and a high resolution image of this figure are also available.]
Saturated and trans fat
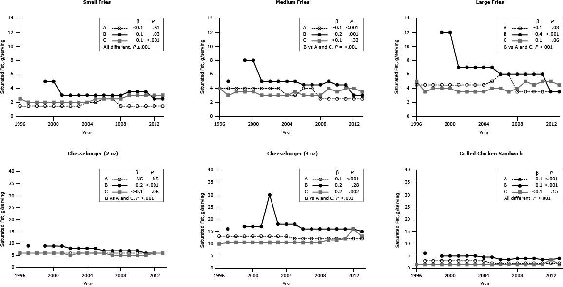
The saturated fat content of French fries, post-2001, was modest for all chains (1.5–6.0 g) (Figure 3). We found a noticeable decline in the saturated fat content of chain B’s French fries between 2000 and 2001. Nevertheless, the saturated fat content of the large-sized meal in 2013 contained 61% to 80% of the recommended 10% of energy upper limit (22 g/2,000 kcal) (1) and 104% and 135% of the recommended 6% of energy upper limit (13 g/2,000 kcal)(6).
Figure 3. Saturated fat content (g per portion) for popular menu items at 3 large, national fast-food chains. Saturated fat content per serving for 3 sizes of French fries (small, medium, large), 2 sizes of cheeseburgers (2 oz, 4 oz), and 1 size of grilled chicken sandwich from Chains A, B, and C from 1996 through 2013. β estimates and P values derived from individual simple linear models; chain comparison P values derived from ANOVA (analysis of variance) models comparing mean values between restaurants. Dashes indicate that data were not available; blank cells indicate that the item was not offered for the year(s). Abbreviations: NS, nonsignificant; NC, no change. a Difference is between Chain B versus Chains A and C. [A tabular version and a high resolution image of this figure are also available.]
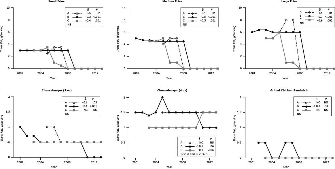
Data for trans fat became available in 2001. The trans fat content of French fries declined to undetectable levels between 2006 and 2009 (Figure 4).
Figure 4. Trans fat content (g per portion) for popular menu items at 3 large, national fast-food chains. Trans fat content per serving for 3 sizes of French fries (small, medium, large), 2 sizes of cheeseburgers (2 oz, 4 oz), and 1 size of grilled chicken sandwich from Chains A, B, and C from 2001 through 2013. β estimates and P values derived from individual simple linear models; chain comparison P values derived from ANOVA (analysis of variance) models, comparing mean values between restaurants. Dashes indicate that data were not available; blank cells indicate that the item was not offered for the year(s). a Difference is between Chain C versus Chains A and B. Abbreviations: NS, nonsignificant; NC, no change. [A tabular version and a high resolution image of this figure are also available.]
Meals
Over time the total energy content of the bundled meal varied inconsistently among the 3 chains (Figure 5). In 2013, the energy content of a large-sized bundled meal (cheeseburger, French fries, and regular cola) represented 65% to 80% of a 2,000-calorie-per-day diet, and sodium content represented 63% to 91% of the 2,300-mg-per-day recommendation and 97% to 139% of the 1,500-mg-per-day recommendation. We found a gradual downward trend in the sodium content of Chain A and Chain B and a gradual upward trend for Chain C. The saturated fat content of the meals exhibited little change for Chain A or Chain C, whereas it steadily declined for Chain B. The total trans fat content of the combination meals declined dramatically.
Figure 5. Comparison of energy, sodium, saturated fat, and trans fat content for popular menu items at 3 large, national fast-food chains. Energy (kcal), sodium (mg), saturated fat (g), and trans fat (g) content for 1999, 2003, 2008, and 2013 in popular small-sized (ie, 2-oz cheeseburger, small French fries, and small cola) and large-sized (ie, 4-oz cheeseburger, large French fries, and large cola) meals from chains A, B, and C. Trans fat data were not available for 1999. Dashes indicate that data were not available. Abbreviation: NA, not applicable. [A tabular version and a high resolution image of this figure are also available.]
Discussion
Despite concern that portion sizes have increased over time, contributing to the obesity epidemic and high rates of cardiometabolic disorders, among the 3 fast-food chain restaurants surveyed and menu items selected, no clear temporal trends were observed. Nevertheless, the energy, sodium, and saturated fat contents were high relative to recommendations (1).
Although there appeared to be an upward trend in portion size of the fast-food restaurant items through 2002 (13), our data and recently published data (17) indicate that this trend appears to have abated. Changes did vary substantially among the 3 chains, and portion sizes remain large. For example, in 2013, large-sized fries, regardless of chain, represented 25% of the daily energy needs of an adult, assuming an energy requirement of 2,000 kcal per day. A large-sized bundled meal composed of a large cheeseburger, large French fries, and regular cola beverage represented 65% to 80% of a 2,000 calorie diet.
Although the sodium content of some menu items decreased, sodium levels mostly remain high and in some cases they increased. The Dietary Guidelines for Americans recommends a sodium limit of 2,300 mg per day for the general population and 1,500 mg per day for some subpopulations (1). For all 3 chains, the sodium content of a 4-oz cheeseburger approached or exceeded half the 2,300-mg-per-day target and 75% of the 1,500-mg-per-day target (1). For the large-sized meal, the sodium content was 63% to 91% of a 2,300-mg-per-day recommendation and 97% to 139% of a 1,500-mg-per-day recommendation.
The saturated fat content of the items surveyed was consistent, with the exception of a decrease in 1 chain’s French fries, presumably due to a change in frying fat (from beef tallow to partially hydrogenated fat). Nevertheless, the saturated fat content of the large-sized meal in 2013 was 61% to 80% of the recommended 10% of energy upper limit (22 g/2,000 kcal) (1) and 104% and 135% of the recommended 6% of energy upper limit (13 g/2,000 kcal)(6).
Of the menu items assessed, French fries historically contributed most of the trans fat. More recently, the trans fat content of French fries decreased because of a shift away from the use of partially hydrogenated fat. This change was prompted by local legislative mandates and public pressure (16). Our findings are consistent with those recently generated for foods purchased from 11 fast-food chains in New York City (18). The changes are an example of how reformulation had a positive effect on overall intake (19). The American Heart Association recommends trans fat intake be less than 1% of energy (20). The trans fat content of the large bundled meal that includes a cheeseburger represents 50% to 75% of the current recommendation, although the trans fat content of cheeseburgers comes from that naturally present in ruminant fat.
A noteworthy finding was that the energy, sodium, and saturated fat content of similarly labeled menu items differed considerably among the 3 fast-food chains. This has implications for counseling individuals on approaches to reduce intakes. Although the most straightforward approach is to provide dietary counseling on the basis of portion size (eg, always order the smallest size), findings of our study indicate that without information tailored to each food venue, the counseling is not likely to achieve the intended goal. To illustrate, an order of small French fries at Chain B provides 110 kcal and 320 mg sodium more than the same item at Chain A. It is unlikely that consumers are aware of the differences among chain restaurants. However, the implications of these data are striking. An extra 100 kcal per day without compensation translates to a 6 to 7 kg weight gain per year (21–23).
The data in this study were restricted to 3 fast-food chain restaurants; therefore, trends observed may not be generalizable to other venues. Of note, the 3 fast-food chain restaurants chosen account for approximately 34% of sales dollars of the top fast-food restaurants in the Untied States (14). Additionally, fast-food chain restaurant foods and beverages accounted for approximately 40% of total away-from-home energy intake in 2008 (24). Consumption of foods and beverages from fast-food restaurants is positively associated with body fatness and coronary heart disease mortality (25–28). Not captured in this study was the potential effect of recent “healthier” items offered by fast-food restaurants on the choice of the more frequently ordered items that were the focus of this study.
Most of the data used for this study were derived from the Wayback Machine website. When possible, these data were independently validated using current data from company websites. In all cases, the Wayback Machine website data were accurate. This website is unbiased because it is an independent website archival system. We cannot rule out the possibility that small variations in nutrient values from year to year may have resulted from analytical variability or shifts in analytical methods. The study was limited to 3 chain restaurants, 3 food items, 1 beverage, and 1 bundled meal. These items and this meal combination were chosen because they were most commonly ordered in the 3 chain restaurants (15). An alternate approach would have been to choose different restaurants on the basis of single items, for example, chicken sandwiches. Although trends for other food items or other types of fast-food items could be different, there are no data to suggest this to be the case. An unanswered question is whether, were a fast-food chain to change its portion sizes or reduce sodium content, consumers would compensate by modifying their order, switching to another chain, or altering another dietary component.
Our findings suggest that efforts to promote reductions in energy, sodium, saturated fat, and trans fat intakes need to be shifted from emphasizing portion size labels (eg, small, medium, large). When developing strategies that help consumers better control their energy intakes and intakes of other nutrients, additional factors — such as total caloric intake, frequency of eating occasions, number of items eaten at any occasion, specific menu choices, and limiting energy-containing beverages — should be addressed. People should be encouraged to take advantage of the point-of-purchase menu labeling provided at fast-food establishments and should consult websites that contain nutrition information.
Acknowledgments
This work was supported by the US Department of Agriculture under agreement nos. 58-1950-0-0014 and 1950-51000-072-02S with Tufts University. Any opinions, findings, conclusions, or recommendations expressed in this publication are those of the authors and do not necessarily reflect the views of the US Department of Agriculture. The authors thank Ashley Equi for her help with data acquisition.
Author Information
Corresponding Author: Alice H. Lichtenstein, DSc, Cardiovascular Nutrition Laboratory, Jean Mayer USDA Human Nutrition Research Center on Aging, Tufts University, 711 Washington St, Boston, MA 02111. Telephone: 617-556-3127. E-mail: alice.lichtenstein@tufts.edu.
Author Affiliations: Lorien E. Urban, Susan B. Roberts, Jean Mayer USDA Human Nutrition Research Center on Aging, Tufts University, Boston, Massachusetts; Jamie L. Fierstein, Christine E. Gary, Freidman School of Nutrition Science and Policy, Tufts University, Boston, Massachusetts.
References
- US Department of Agriculture. Dietary guidelines for Americans, 2010, 7th edition. Washington (DC): US Department of Health and Human Services; 2010.
- Murray CJL, Lopez AD. Measuring the global burden of disease. N Engl J Med 2013;369:448–57. CrossRef PubMed
- US Burden of Disease Collaborators. The state of US health, 1990–2010: burden of diseases, injuries, and risk factors. JAMA 2013;310(6):591–608. CrossRef PubMed
- Fitzgerald N, Morgan KT, Leachman Slawson D. Practice paper of the academy of nutrition and dietetics abstract: the role of nutrition in health promotion and chronic disease prevention. J Acad Nutr Diet 2013;113(7):983. CrossRef PubMed
- The American Cancer Society 2010 Nutrition and Physical Activity Guidelines Advisory Committee. American Cancer Society guidelines on nutrition and physical activity for cancer prevention: reducing the risk of cancer with healthy food choices and physical activity. CA Cancer J Clin 2012;62(1):30–67. PubMed
- Eckel RH, Jakicic JM, Ard JD, Houston Miller N, Hubbard VS, Lee IM, et al. Guideline on lifestyle management to reduce cardiovascular risk: a report of the American College of Cardiology/American Heart Association Task Force on Practice Guidelines. J Am Coll Cardiol 2014;63(25 Pt B):2960–84. PubMed
- Ogden CL, Carroll MD, Kit BK, Flegal KM. Prevalence of childhood and adult obesity in the United States, 2011–2012. JAMA 2014;311(8):806–14. CrossRef PubMed
- Lin B, Frazao E, Guthrie J. Away-from-home foods increasingly important to quality of American diet. Agricultural Information Bulletin No. 749. Washington (DC): Economic Research Service; 1999.
- US Department of Agriculture. Away from home: percentages of selected nutrients contributed by foods eaten away from home, by gender and age, in the United States, 2009–2010. NHANES; 2009–2010. http://www.ars.usda.gov/ba/bhnrc/fsrg. Accessed December 17, 2012.
- Johnson CM, Angell SY, Lederer A, Dumanovsky T, Huang C, Bassett MT, et al. Sodium content of lunchtime fast food purchases at major US chains. Arch Intern Med 2010;170(8):732–4. CrossRef PubMed
- Pereira MA, Kartashov AI, Ebbeling CB, Van Horn L, Slattery ML, Jacobs DR Jr, et al. Fast-food habits, weight gain, and insulin resistance (the CARDIA study): 15-year prospective analysis. Lancet 2005;365:36–42. CrossRef PubMed
- Bowman SA, Vinyard BT. Fast food consumption of US adults: impact on energy and nutrient intakes and overweight status. J Am Coll Nutr 2004;23(2):163–8. CrossRef PubMed
- Young LR, Nestle M. Expanding portion sizes in the US marketplace: implications for nutrition counseling. J Am Diet Assoc 2003;103:231–4. CrossRef PubMed
- Oches S. The QSR 50. QSR; 2013. http://www.qsrmagazine.com/reports/qsr50-2013-top-50-chart. Accessed June 12, 2014.
- Harris JL, Schwartz MB, Brownell KD, Sarda V, Ustjanauskas A, Javadizadeh J, et al. Fast food F.A.C.T.S.: evaluating fast food nutrition and marketing to youth. New Haven (CT): Yale University Rudd Center for Food Policy and Obesity; 2010.
- Hensley S, Stensson A. High-volume restaurants going trans-fat free one unit at a time; 2012. http://www.restaurant.org/pressroom/pressrelease/print/index.cfm?ID=1607. Accessed July 25, 2012.
- Bauer KW, Hearst MO, Earnest AA, French SA, Oakes JM, Harnack LJ. Energy content of US fast-food restaurant offerings. Am J Prev Med 2012;43(5):490–7. CrossRef PubMed
- Angell SY, Cobb LK, Curtis CJ, Konty KJ, Silver LD. Change in trans fatty acid content of fast-food purchases associated with New York City’s restaurant regulation: a pre–post study. Ann Intern Med 2012;157:81–6. CrossRef PubMed
- Lichtenstein AH. New York City trans fat ban: improving the default option when purchasing foods prepared outside of the home. Ann Intern Med 2012;157(2):144–5. PubMed
- Lichtenstein AH, Appel LJ, Brands M, Carnethon M, Daniels S, Franch HA, et al. Diet and lifestyle recommendations revision 2006: a scientific statement from the American Heart Association Nutrition Committee. Circulation 2006;114(1):82–96. CrossRef PubMed
- Hall KD. What is the required energy deficit per unit weight loss? Int J Obes (Lond) 2008;32(3):573–6. CrossRef PubMed
- Katan MB, Ludwig DS. Extra calories cause weight gain — but how much? JAMA 2010;303(1):65–6. CrossRef PubMed
- National Institute of Diabetes and Digestive and Kidney Disorders. Body weight simulator; 2012. http://bwsimulator.niddk.nih.gov/. Accessed December 17, 2012.
- US Department of Agriculture, Economic Research Service. Daily intake of nutrients by food source: 2005–2008; 2012. http://www.ers.usda.gov/data-products/food-consumption-and-nutrient-intakes.aspx. Accessed December 17, 2012.
- McCrory MA, Fuss PJ, Hays NP, Vinken AG, Greenberg AS, Roberts SB. Overeating in America: association between restaurant food consumption and body fatness in healthy adult men and women ages 19 to 80. Obes Res 1999;7(6):564–71. CrossRef PubMed
- Duffey KJ, Gordon-Larsen P, Jacobs DR Jr, Williams OD, Popkin BM. Differential associations of fast food and restaurant food consumption with 3-y change in body mass index: the Coronary Artery Risk Development in Young Adults study. Am J Clin Nutr 2007;85(1):201–8. PubMed
- Mozaffarian D, Hao T, Rimm EB, Willett WC, Hu FB. Changes in diet and lifestyle and long-term weight gain in women and men. N Engl J Med 2011;364(25):2392–404. CrossRef PubMed
- Odegaard AO, Koh WP, Yuan J, Gross MD, Pereira MA. Western-style fast food intake and cardiometabolic risk in an Eastern country. Circulation 2012;126(2):182–8. CrossRef PubMed
The opinions expressed by authors contributing to this journal do not necessarily reflect the opinions of the U.S. Department of Health and Human Services, the Public Health Service, the Centers for Disease Control and Prevention, or the authors' affiliated institutions.







