Skip Navigation LinksSkip Navigation Links
Centers for Disease Control and Prevention
Safer Healthier People
Blue White
Blue White
bottom curve
CDC Home Search Health Topics A-Z spacer spacer
spacer
Blue curve MMWR spacer
spacer
spacer


Persons using assistive technology might not be able to fully access information in this file. For assistance, please send e-mail to: mmwrq@cdc.gov. Type 508 Accommodation and the title of the report in the subject line of e-mail.

Surveillance for Acute Viral Hepatitis --- United States, 2007

Danni Daniels, MS

Scott Grytdal, MPH

Annemarie Wasley, ScD

Division of Viral Hepatitis, National Center for HIV/AIDS, Viral Hepatitis, STD, and TB Prevention, CDC

Corresponding author: Danni Daniels, MS, Division of Viral Hepatitis, National Center for HIV/AIDS, Viral Hepatitis, STD, and TB Prevention, CDC, 1600 Clifton Rd., N.E., MS G-37, Atlanta, GA 30333. Telephone: 404-718-8596; Fax: 404-718-8585. E-mail: dld4@cdc.gov.

Abstract

Problem: In the United States, acute viral hepatitis most frequently is caused by infection with any of three distinct viruses: hepatitis A virus (HAV), hepatitis B virus (HBV), or hepatitis C virus (HCV). These unrelated viruses are transmitted through different routes and have different epidemiologic profiles. Safe and effective vaccines have been available for hepatitis B since 1981 and for hepatitis A since 1995. No vaccine exists against hepatitis C. HBV and HCV can persist as chronic infections and represent a leading cause of chronic liver disease and hepatocellular carcinoma in the United States.

Reporting Period Covered: Cases in 2007, the most recent year for which data are available, are compared with those from previous years.

Description of System: Cases of acute viral hepatitis are reported voluntarily to CDC by state and territorial health departments via CDC's National Notifiable Disease Surveillance System (NNDSS). Reports are received electronically via CDC's National Electronic Telecommunications System for Surveillance (NETSS).

Results: Acute hepatitis A incidence has declined 92%, from 12.0 cases per 100,000 population in 1995 to 1.0 case per 100,000 population in 2007, the lowest rate ever recorded. Declines were greatest among children and in those states where routine vaccination of children was recommended beginning in 1999. Acute hepatitis B incidence has declined 82%, from 8.5 cases per 100,000 population in 1990 to 1.5 cases per 100,000 population in 2007, the lowest rate ever recorded. Declines occurred among all age groups but were greatest among children aged <15 years. Following a peak in 1992, incidence of acute hepatitis C declined; however, since 2003, rates have plateaued. In 2007, as in previous years, the majority of these cases occurred among adults, and injection-drug use was the most common risk factor.

Interpretation: The results documented in this report suggest that implementation of the 1999 recommendations for routine childhood hepatitis A vaccination in areas of the United States with consistently elevated hepatitis A rates has reduced rates of infection. In addition, universal vaccination of children against hepatitis B beginning in 1991 has reduced disease incidence substantially among younger age groups. Higher rates of hepatitis B continue among adults, particularly among males aged 30--44 years, reflecting the need to vaccinate adults at risk for HBV infection. The decline in hepatitis C incidence after 1992 was attributable primarily to a decrease in incidence among injection-drug users. The reasons for this decrease were unknown but probably reflected changes in behavior and practices among injection-drug users.

Public Health Actions: The expansion in 2006 of recommendations for routine hepatitis A vaccination to include all children in the United States aged 12--23 months is expected to reduce hepatitis A rates further. Ongoing hepatitis B vaccination programs ultimately will eliminate domestic HBV transmission, and increased vaccination of adults with risk factors will accelerate progress toward elimination. Further prevention of hepatitis B and hepatitis C relies on identifying and preventing transmission of HBV or HCV in hospital and nonhospital health-care associated settings. In addition, prevention of hepatitis C relies on identifying and counseling uninfected persons at risk for hepatitis C (e.g., injection-drug users) regarding ways they can protect themselves from infection. Public health management of persons with chronic HBV or HCV infection will help to interrupt the transmission to susceptible persons, and their medical management will help to reduce the development of the sequelae from chronic liver disease.

Introduction

Viral hepatitis is caused by infection with any of at least five distinct viruses, of which the three most commonly identified in the United States are hepatitis A virus (HAV), hepatitis B virus (HBV) and hepatitis C virus (HCV). All three of these unrelated viruses can produce an acute illness characterized by nausea, malaise, abdominal pain, and jaundice. HBV and HCV also can produce a chronic infection that is associated with an increased risk for chronic liver disease and hepatocellular carcinoma.

This report describes the burden of acute disease attributed to infection with HAV, HBV, and HCV and describes acute disease trends in recent years. These data can be used to develop and evaluate prevention strategies and to identify persons in need of postexposure prophylaxis. The data on acute illness presented in this report do not include the burden of disease caused by chronic infection with HBV or HCV, both of which remain a substantial public health problem.

Hepatitis A Virus

HAV is transmitted through the fecal-oral route, spreading primarily through close personal contact. During 1987--1997, an average of 28,000 cases of hepatitis A occurred per year in the United States (range: 23,112--35,821), making hepatitis A one of the country's most frequently reported notifiable diseases. However, effective vaccines to prevent hepatitis A virus infection have been available in the United States since 1995. These vaccines have provided public health authorities with the opportunity to reduce disease incidence in the United States substantially and potentially to eliminate indigenous transmission.

In 1996, CDC's Advisory Committee on Immunization Practices (ACIP) recommended administration of hepatitis A vaccine for persons at increased risk, including international travelers, men who have sex with men (MSM), injection- and noninjection-drug users, and children living in communities with high rates of disease (1). In 1999, ACIP also recommended that routine vaccination be implemented for children living in 11 states with average hepatitis A rates during 1987--1997 of ≥20 cases per 100,000 population and also be considered for children in six states with rates of 10--20 cases per 100,000 population (2). In 2006, ACIP expanded these recommendations to include routine vaccination of children in all 50 states (3).

Hepatitis B Virus

HBV is transmitted by percutaneous or mucosal exposure to the blood or body fluids of an infected person, most often through injection-drug use (IDU), sexual contact with an infected person, or contact from an infected mother to her infant during delivery. Transmission of HBV also can occur in settings involving nonsexual interpersonal contact for an extended period (e.g., among household contacts of a person with chronic HBV infection). In 1991, a comprehensive strategy was recommended for the elimination of HBV transmission in the United States (4,5). The four elements of this strategy are 1) universal vaccination of infants beginning at birth, 2) prevention of perinatal HBV infection through routine screening of all pregnant women for HBV infection and the provision of immunoprophylaxis to infants born to infected women or to women of unknown infection status, 3) routine vaccination of previously unvaccinated children and adolescents, and 4) vaccination of adults at increased risk for infection (including health-care workers, dialysis patients, household contacts and sex partners of persons with chronic HBV infection, recipients of certain blood products, persons with a recent history of multiple sex partners or a sexually transmitted disease, MSM, and injection-drug users).

Hepatitis C Virus

HCV is transmitted primarily through percutaneous exposure; however, transmission can occur through unapparent percutaneous or mucosal exposures (e.g., persons with evidence of high-risk sexual practices). With an estimated 3.2 million chronically infected persons nationwide, HCV infection is the most common bloodborne infection in the United States (6). No vaccine against HCV infection exists. National recommendations for prevention and control of HCV infection (7), issued in 1998, emphasize primary prevention activities to reduce the risk for HCV transmission. These activities include screening and testing of blood donors, viral inactivation of plasma-derived products, risk-reduction counseling and screening of persons at risk for HCV infection, and routine practice of infection control in health-care settings.

Methods

Conditions for Which Surveillance is Conducted

National surveillance is conducted for acute hepatitis A, B, and C. The case definitions for these conditions are approved by the Council of State and Territorial Epidemiologists (CSTE) and are provided (see Case Definitions for Acute Viral Hepatitis).

Data Sources

Cases of acute viral hepatitis are reported to CDC weekly by state and territorial health departments to CDC's National Notifiable Diseases Surveillance System (NNDSS). Since January 1, 2002, all reports have been submitted electronically to CDC via the National Electronic Telecommunications System for Surveillance (NETSS).

States' participation in reporting nationally notifiable diseases, including acute viral hepatitis, is voluntary. All states collect and report basic information (e.g., event date, source of report, and demographic characteristics) regarding cases of acute viral hepatitis that are identified in their states. States also are asked to report additional information (e.g., laboratory test results, clinical information, and exposure history) regarding investigated cases, but completeness of reporting of these additional data varies. Information regarding state-specific reporting profiles for risk factor information is provided in this report (Table 1).

Case Definitions for Acute Viral Hepatitis

In 2007, cases were required to meet the clinical definition for acute hepatitis and virus-specific laboratory criteria for diagnosis specified in the following CSTE-approved case definitions (available at http://www.cdc.gov/ncphi/disss/nndss/casedef/case_definitions.htm#h).

Clinical Case Definition

Acute hepatitis was defined as acute illness with 1) discrete onset of symptoms (e.g., nausea, anorexia, fever, malaise, or abdominal pain) and 2) jaundice or elevated serum aminotransferase levels. For acute hepatitis C, elevated serum aminotransferase levels are specified as serum alanine aminotransferase levels of >400 IU/L.

Laboratory Criteria for Diagnosis of Hepatitis

Because the clinical characteristics are the same for all types of acute viral hepatitis, laboratory testing is needed to identify the specific viral cause of illness. The laboratory criteria for confirming each type of acute viral hepatitis are as follows:

  • Acute hepatitis A
    -- Immunoglobulin M (IgM) antibody to hepatitis A virus (anti-HAV) positive
  • Acute hepatitis B
    -- IgM antibody to hepatitis B core antigen (anti-HBc) positive or hepatitis B surface antigen (HBsAg) positive, and
    -- IgM anti-HAV negative (if performed)
  • Acute hepatitis C
    -- IgM anti-HAV negative, and
    -- IgM anti-HBc negative, and
    --One of the following:

OR

  • Hepatitis C virus recombinant immunoblot assay (HCV RIBA) positive,

OR

  • Nucleic acid test (NAT) for HCV RNA positive.

Case Classification

For this analysis, a confirmed case was one if it met the clinical case definition and was laboratory-confirmed. For hepatitis A, a case also was considered confirmed that met the clinical case definition and was diagnosed in a person who had an epidemiologic link to a person who had laboratory-confirmed hepatitis A (i.e., household or sexual contact with an infected person during the 15--50 days before the onset of symptoms).

Analyses

Incidence Calculations

For this report, crude rates per 100,000 population were calculated using Bureau of the Census estimates of the U.S. resident population in 2007. The following U.S. geographic regions were used: Midwest, Northeast, South, and West.*

Frequency Analysis

For this analysis, the percentage of persons who reported a specific risk factor was determined by using the number of cases reporting any information, positive or negative, regarding that exposure as the denominator. Depending on the type of hepatitis, the percentage of case reports that included any risk factor information ranged from 48%--50%. Multiple risk factors may be reported for a single person. Consequently, the percentages of persons with specific risk factors might total >100%.

Estimation Calculation

The estimation procedure for the number of new cases of acute hepatitis A begins with the number of acute hepatitis A cases reported voluntarily to CDC via CDC's NNDSS. The overall procedure makes two adjustments to the reported number of acute hepatitis A cases: one adjustment accounts for underreporting of cases to the passive surveillance system, and the other adjustment accounts for anicteric infections assumed not to have been recognized or reported. The result of these adjustments yields the estimated number of new cases of acute hepatitis A. The procedure for estimating the number of new cases of acute hepatitis B and acute hepatitis C is similar to that for acute hepatitis A (8).

Results

Acute Hepatitis A

Overall Incidence

Historically, acute hepatitis A rates have varied cyclically, with nationwide increases every 10--15 years. The national rate of hepatitis A has declined steadily since the last peak in 1995. In 2007, a total of 2,979 acute symptomatic cases of hepatitis A were reported; the national incidence (1.0 case per 100,000 population) was the lowest ever recorded (Figure 1; Tables 2 and 3). After asymptomatic infection and underreporting were taken into account, an estimated 25,000 new infections occurred in 2007 (8).

Rates by Region

In addition to temporal variation, historically, hepatitis A rates have varied geographically, with higher rates reported in the western region of the United States. However, incidence in the West declined substantially, most notably after issuance in 1999 of recommendations for routine childhood vaccination in states with consistently elevated rates of hepatitis A (2). Since 2002, rates in the West have been approximately equal to those in other regions of the United States (Figures 2 and 3).

Rates by Age

Incidence of hepatitis A varies by age. Since the last nationwide increase in 1995, the rates overall declined among all age groups, but the greatest decreases were among children. Historically, the highest rates were observed among children and young adults; the lowest rates were among persons aged ≥40 years. In 2007, rates were highest for persons aged 25--39 years (1.3 cases per 100,000 population) (Figure 4). During 2001--2007, the lowest rates were among children aged <5 years. However, asymptomatic infection is common among young children, and symptomatic cases in children aged <5 years represent only a limited proportion of infections that occur in this age group.

Rates by Sex

Rates of hepatitis A consistently have been higher among males than among females; during 1996--2002, the difference in the sex-specific rates increased until nearly two male cases were observed for every female case. However, since 2002, overall rates have declined more among males than among females. In 2007, incidence among males was 1.1 cases per 100,000 population, compared with 0.9 cases per 100,000 population among females (Figure 5). The difference in hepatitis A rates by sex was highest among persons aged 35--49 years (Figure 6).

Rates by Race and Ethnicity

Hepatitis A rates have differed historically by race; the highest rates occurred among American Indian/Alaska Natives (AI/ANs), and the lowest rates among Asians/Pacific Islanders (APIs). However, rates among AI/ANs, which were >60 cases per 100,000 population before 1996, have decreased dramatically; during 2001--2007, rates among AI/ANs were lower than or similar to those for other races. In 2007, the rate for AI/ANs was 0.5 cases per 100,000 population. Historically, hepatitis A rates also have differed by ethnicity; rates among Hispanics were consistently higher compared with non-Hispanics. Rates for Hispanics decreased 94%, from the peak of 24.1 cases per 100,000 population in 1997 to 1.4 cases per 100,000 population in 2007, the lowest rate ever recorded, and approached the rate for non-Hispanics (Figure 7).

Reported Risk Factors

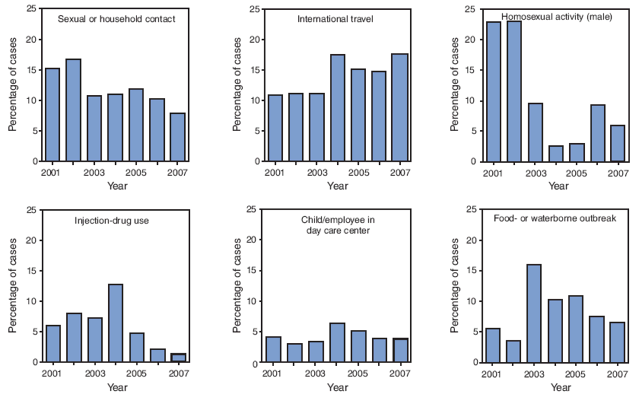
In 2007, among cases for which information regarding exposures during the incubation period was collected, the most frequently identified risk factor for hepatitis A was international travel (reported by 18% of case patients overall). As in previous years, the majority of travel-related cases were associated with travel to Mexico and Central/South America (85%). As HAV transmission in the United States has decreased, cases among travelers to countries in which hepatitis is endemic have accounted for an increased proportion of all cases.

Historically, sexual and household contact with another person with hepatitis A has been among the most frequently identified risks; in 2007, this type of contact accounted for 8% of reported cases. In 2007, the proportion of cases reported among MSM was 6%, and the proportion of cases in persons reporting IDU was 1% (Table 4; Figure 8). Risk factor data were not available for 1,486 (50%) of reported cases (Table 4).

Clinical Characteristics

In 2007, the clinical characteristics of reported hepatitis A cases were similar to previous years; 73% of infected persons had jaundice, 35% were hospitalized for hepatitis A, and 0.8% died from hepatitis A. The proportion of persons hospitalized increased with age, from 21% among children aged <5 years to 53% among persons aged ≥60 years (Table 5).

Acute Hepatitis B

Overall Incidence

In 2007, a total of 4,519 acute, symptomatic cases of hepatitis B were reported nationwide. The overall incidence (1.5 cases per 100,000 population) was the lowest ever recorded and represents a decline of 82% from the rate in 1990 (8.5 cases per 100,000 population) (Tables 2 and 6; Figure 9). After asymptomatic infection and underreporting were taken into account, an estimated 43,000 new infections occurred in 2007 (8).

Rates by Region

In 2007, hepatitis B rates were similar to those in 2006 in all U.S. regions (Figures 10 and 11). During 2000--2007, the highest rates occurred in the South.

Rates by Age

Within each age group, hepatitis B rates began to plateau in 2006. However, hepatitis B rates varied by age, with the highest rate in 2007 (2.9 cases per 100,000 population) reported among persons aged 25--44 years and the lowest (0.02 cases per 100,000 population) reported among persons aged <15 years. The greatest percentage declines have occurred among persons aged <15 years (98%; from 1.2 cases per 100,000 population in 1990 to 0.02 cases per 100,000 population in 2007)) and those aged 15--24 years (93%; from 13.0 cases per 100,000 population in 1990 to 0.9 cases per 100,000 population in 2007). Although not as large as the declines in the younger age groups, substantial decreases occurred among older persons; the percentage declines among persons aged 25--44 years and those aged ≥45 years were 79% and 62%, respectively (Figure 12).

Rates by Sex

As in previous years, in 2007, the rate of acute hepatitis B for males (1.9 cases per 100,000 population) was higher than that for females (1.2 cases per 100,000 population). During 1990--2007, the male-to-female ratio of cases remained stable (1.5--1.8). In 2007, the rate for males was approximately 1.6 times higher than that for females (Figure 13). In 2007, this difference in hepatitis B rates by sex occurred primarily among persons aged >19 years and increased with age (Figure 14).

Rates by Race and Ethnicity

Since 2004, rates of hepatitis B have plateaued among all racial/ethnic populations (Figure 15). In 2007, the rate of hepatitis B was highest for non-Hispanic blacks (2.3 cases per 100,000 population). The downward trend in the rate among APIs continued, and the rate for this population in 2007 (0.9 cases per 100,000 population) was similar to that for Hispanics and non-Hispanic whites (1.0 case per 100,000 population, for both populations).

Reported Risk Factors for Infection

Of persons for whom information regarding exposures during the incubation period was available, 38% had multiple sex partners, 11% were MSM, and 6% had sexual contact with a person known to have hepatitis B. IDU was reported for 15% of persons. Having had surgery was reported for 12% of persons with hepatitis B; the percentage was higher for persons aged ≥45 years (17%). The proportion of persons who reported receiving hemodialysis or a blood transfusion (both of which historically were major sources of infection) or having had occupational exposure to blood was low (0.2%, 0.5%, and 0.6%, respectively) (Table 7; Figure 16). Risk factor data were not available for 2,361 (52%) of reported cases (Table 7).

Clinical Characteristics

In 2007, of persons reported with hepatitis B, 76% had jaundice, 40% were hospitalized, and 2% died. The proportion of persons hospitalized for hepatitis B was approximately 40% among persons in each age group (Table 8).

Acute Hepatitis C

Overall Incidence

In 2007, a total of 849 confirmed cases of acute hepatitis C were reported; the overall national rate was 0.3 cases per 100,000 population (Table 2 and 9; Figure 17). Since 2003, hepatitis C rates have plateaued. After asymptomatic infection and underreporting were taken into account, approximately 17,000 new HCV infections occurred in 2007 (8).

Rates by Age

Since 2003, hepatitis C rates have plateaued within each age group. In 2007, rates increased slightly among persons aged 25--39 years (0.5 per 100,000 population) and those aged ≥40 years (0.3 per 100,000 population). Rates declined 90% (from 5.3 cases per 100,000 population in 1990 to 0.5 cases per 100,000 population in 2007) among persons aged 25--39 years, the age group that historically had the highest rates of disease. Few cases were reported among persons aged <15 years (Figure 18).

Rates by Sex

In 2007, as in previous years, the reported rate of hepatitis C was higher for males (0.3 cases per 100,000 population) than for females (0.3 cases per 100,000 population). However, since 2002, this differential in rates has declined (Figure 19). In 2007, among persons aged 15--34 years, the male-to-female ratio was ≤1 (0.5 for persons aged 15--19 year, 0.8 for persons aged 20--24 years, and 1.0 for persons aged 25--29 years and for persons aged 30--34 years) (Figure 20).

Rates by Race and Ethnicity

Since 2004, the incidence of hepatitis C has plateaued among all racial/ethnic populations except for AI/ANs, for whom rates fluctuated. In 2007, rates were similar across racial/ethnic populations other than AI/ANs, for whom the rate was 0.5 cases per 100,000 population. For non-AI/AN populations, rates ranged from 0.02 cases per 100,000 population among APIs to 0.3 cases per 100,000 population among non-Hispanic whites (Figure 21).

Reported Risk Factors

Of the cases reported in 2007 for which information concerning exposures during the incubation period was available, the most common risk factor identified was IDU (48%). During 1998--2007, IDU was reported for an average of 44% of persons (range: 38%--54%). In 2007, 42% reported having multiple sex partners during the incubation period, 10% reported having sexual contact with another known HCV-infected person, and 10% were MSM. Having had surgery was reported for 20% of persons with hepatitis C; the percentage was higher for persons aged ≥40 years (32%). A total of 2% reported occupational exposure to blood (Table 10; Figure 22). Risk factor data were not available for 438 (52%) of reported cases (Table 10).

Clinical Characteristics

In 2007, of persons with hepatitis C whose cases were reported, 71% had jaundice, 49% were hospitalized, and 0.5% died (Table 11).

Discussion

National surveillance data for acute viral hepatitis provides the information needed to develop prevention strategies and monitor their effectiveness. Since national surveillance for acute viral hepatitis in the United States began in 1966, major changes in the epidemiology of these diseases have occurred. During 1995--2007, rates for all three types of acute viral hepatitis declined. These declines resulted partially from implementation of comprehensive prevention strategies for each disease, including the introduction of effective vaccines against hepatitis A and hepatitis B.

Hepatitis A

Hepatitis A rates have varied cyclically, with peaks occurring approximately every 10--15 years; the most recent peak in morbidity occurred in 1995. The incidence of hepatitis A began to decline after the introduction of licensed hepatitis A vaccines in the United States in 1995 and the issuance in 1996 of the first public health recommendations for the use of vaccine to prevent transmission of HAV (1). The greatest declines have occurred since 1999, when recommendations were made for routine vaccination of children living in states with consistently elevated rates of hepatitis A (2). After implementation of the recommended vaccination strategy, major changes occurred in the geographic distribution of hepatitis A. Relative to their prevaccine-era rates, a substantially greater decline occurred for the 17 western and midwestern states included in the 1999 recommendation than for the remainder of the country (9). As a result of this decline, hepatitis A rates now are similar across all regions.

After the implementation of routine childhood vaccination, changes in the age distribution also occurred. During the prevaccine era, the reported incidence of hepatitis A was highest among children aged 5--14 years; approximately one third of reported cases occurred among children aged <15 years. Since implementation of routine childhood vaccination, incidence has declined more sharply among the age groups (i.e., 2--18 years) covered by the recommendations than among older age groups. As a result, rates now are similar among all age groups (9). In 2007, the highest rates of disease occurred among adults, particularly among males aged 20--39 years. The low and relatively stable rates among persons aged ≥40 years reflect the higher proportion of persons in this age group who had immunity as a result of previous infection. Data from the Third National Health and Nutrition Examination Survey (NHANES III) conducted during 1988--1994 indicated that approximately 30% of the U.S. population had serologic evidence of immunity to HAV, reaching a high of 75% among persons aged ≥70 years (10).

Disparities in rates among racial/ethnic populations also decreased after the introduction of hepatitis A vaccine. In particular, rates among AI/ANs were five times those of other racial/ethnic population during the prevaccine era. Widespread use of hepatitis A vaccine in Native American communities began in 1996 (11), and rates in this population now are approximately the same or lower than those of other racial/ethnic populations. Historically, Hispanics had elevated hepatitis A rates. Incidence among Hispanics peaked in 1997 at 24.1 cases per 100,000 population and declined 94% by 2007 to 1.4 cases per 100,000 population, approaching the rate for non-Hispanics. This decline might reflect the early impact of the expansion in 2006 of the recommendation for routine vaccination to include children aged 12--23 months in all 50 states (3).

The observed declines in the incidence of hepatitis A were accompanied by shifts in the epidemiologic profile of this disease. The substantial communitywide outbreaks that occurred as a result of person-to-person contact in households and extended family settings have become increasingly rare. The disappearance of these outbreaks can be attributed to declining rates of infection among children who, because they frequently have asymptomatic infection, often have played a key role in sustaining HAV transmission. As this type of transmission has decreased, the proportion of cases among persons in high-risk populations (particularly international travelers and MSM) has increased. Although the absolute number of cases associated with international travel has remained nearly unchanged, the proportion of cases attributable to this exposure has increased, accounting for 18% of all cases in 2007. Approximately 85% of all travel-related cases were associated with travel to Mexico and to Central or South America. Hepatitis A transmission also can occur among family members of children recently adopted from countries in which hepatitis A is endemic. Family members who anticipate close personal contact with an internationally adopted child from countries in which hepatitis A is of intermediate or high endemicity can benefit from hepatitis A vaccination.

Outbreaks of hepatitis A among injection-drug users and MSM also have continued to occur although hepatitis A vaccine has been recommended for these populations since 1996.

In 2005, the licensing of hepatitis A vaccines was revised to allow vaccination of children aged 12--23 months, which has made feasible the incorporation of hepatitis A vaccine into the schedule of other routinely recommended childhood vaccines. In 2006, ACIP recommended that all children in the United States aged 12--23 months receive hepatitis A vaccine (3). Nationwide hepatitis A vaccination of children is likely to result in further narrowing of current demographic disparities and in lower overall rates of infection. The 2006 recommendations provide the foundation for eventual consideration of elimination of indigenous HAV transmission in the United States. Ongoing surveillance for acute hepatitis A provides the data needed to measure the progress toward that goal.

Hepatitis B

The decline in hepatitis B incidence began in the mid-1980s and has coincided with the stepwise implementation of the national vaccination strategy to eliminate HBV transmission. The 2007 rate of 1.5 cases per 100,000 population was the lowest recorded since surveillance began in 1966 and represents an estimated decline of >80% from the rate in 1990, the year before the national strategy was implemented.

The greatest declines have occurred among the cohort of children to whom the recommendations for routine infant and adolescent vaccination have applied. The incidence among children aged <15 years declined 98%, from 1.2 cases per 100,000 population in 1990 to 0.02 cases per 100,000 population in 2007. This decline correlates with high vaccine coverage rates among young children, with the most recent data indicating that coverage among children aged 19--35 months was 93% (12).

Although incidence also has declined among persons aged 25--44 years, rates in this age group, particularly among males, still remained substantially higher than in any other age group. A high proportion of these cases occurred among persons with risk factors for HBV infection (e.g., injection-drug users, MSM, and persons with multiple sex partners). In contrast, the continued occurrence of cases among injection-drug users and persons with sexual risk factors indicates a need to strengthen efforts to reach these populations with vaccine. In 2007, in collaboration with 54 state and local health agencies, CDC launched the Adult Hepatitis B Vaccination Initiative to provide approximately $20 million for the purchase of hepatitis B or hepatitis A/B vaccine (13). The funds supported the administration of 232,712 doses of hepatitis B containing vaccine in 1,793 clinical sites. In the second year of the initiative, 48 immunization grantees were awarded $16 million.

Since 1990, progress has been made in reducing racial/ethnic disparities in hepatitis B rates. Before 1990, APIs had disproportionately higher rates of hepatitis B. The decrease in disparity between APIs and other racial/ethnic populations was consistent with observed declines in the seroprevalence of HBV infection among high-risk Asian children after the successful implementation of routine hepatitis B vaccination (14,15). Although rates among non-Hispanic blacks have declined, they remain more than twofold higher than those among other racial/ethnic populations. Although progress has been made in reducing disparities in incidence of new infection, the impact of these disparities in the past are reflected in current prevalence patterns, with higher prevalences of chronic HBV infection among APIs and non-Hispanic blacks than among other populations.

Few cases now occur in certain populations that previously were considered to be at high risk (e.g., dialysis patients and health-care workers) as a result of continued improvements in infection control and ongoing hepatitis B vaccination in these groups. A 2003 survey indicated that approximately 75% of health-care workers have been vaccinated against hepatitis B (16). In 2002, coverage among dialysis patients was 56% (17). Persons aged ≥45 years reported surgery as a potential risk more often than those who were younger. This is probably related to the increased incidence of surgery among older persons. Approximately 40% of persons who reported having had surgery during the incubation period also reported being injection-drug users, having multiple sex partners, or being MSM. Transmission associated with transfusions is rare as a result of required screening of blood products. Health-care--related transmission of hepatitis B is documented infrequently in the United States but should be considered when cases of acute viral hepatitis are identified in persons without traditional risk factors. The declining incidence of hepatitis B has been associated with increasing recognition of sporadic cases associated with health care, including nonhospital health-care settings such as outpatient clinics and long-term care facilities (18--20). During 1999--2007, a total of 16 outbreaks of hepatitis B were detected and investigated in the United States, involving 157 known infected persons; in almost all instances, these casers could be attributed to sharing glucose-monitoring equipment among persons with diabetes residing in nursing or assisted care facilities (20). State and local health authorities should consider strategies to improve detection of hospital and nonhospital health-care--associated cases, such as targeting intensive follow-up for persons who typically are at low risk for infection (e.g., persons aged >60 years).

To complement surveillance for acute HBV infection, surveillance data also are needed to guide and evaluate public health interventions for persons with chronic hepatitis B. Approximately 800,000--1.4 million U.S. residents are living with chronic HBV infection, and hepatitis B is the underlying cause of an estimated 3,000 deaths each year in the United States. Improving the identification and public health management of persons with chronic HBV infection can help prevent serious sequelae of chronic liver disease and complement immunization strategies to eliminate HBV transmission in the United States. CDC recently issued new guidelines for HBsAg testing and including new recommendations for public health evaluation and management of chronically infected persons and their contacts (21). Surveillance data for chronic hepatitis B can be brought together with data from HIV surveillance and cancer registries to track progress to guide the integration of prevention services and health outcomes. Perinatal HBV infection, a notifiable disease, has been reported via NETSS since 2001. In 2001, a total of 30 cases were reported by seven states, and in 2004, a total of 48 cases were reported by 15 states. In 2007, a total of 83 cases were reported by 22 states. Despite the increase in the number of states reporting cases of perinatal HBV infection since 2001, not all states have begun reporting through this mechanism. The number of reported cases is estimated to represent <10% of the true number of infections occurring (22).

Hepatitis C

After peaking in the late 1980s, the incidence of hepatitis C declined steadily through the 1990s. However, since 2003, hepatitis C rates have plateaued, with IDU remaining the most commonly identified risk factor for infection. Transmission of HCV associated with transfusion, an important risk for infection in previous years, has been rare as a result of required blood screening.

Health-care--related transmission of hepatitis C is documented infrequently in the United States but should be considered when cases of acute viral hepatitis are identified in persons without traditional risk factors for hepatitis C (e.g., IDU). Recognition of sporadic cases associated with nonhospital health-care settings such as outpatient clinics and hemodialysis centers has been increasing (18--20). In 2007, an outbreak of HCV infection occurred in an endoscopy clinic in Nevada. This outbreak, which was attributed to unsafe injection practices, resulted in the notification of approximately 40,000 persons about their potential risk for exposure to HCV infection and other bloodborne pathogens; six cases of acute hepatitis C were detected (23). A review of other outbreak investigations by CDC and state health departments indicated that an additional 15 HCV outbreaks associated with receipt of care in nonhospital health-care venues had occurred in the United States during 1998--2007; 276 infected persons were identified, and >18,000 persons had been exposed and required notification and screening (20). State and local health authorities should consider strategies to improve detection of hospital and nonhospital health-care--related cases, such as targeting intensive follow-up for persons who typically are at low risk for infection (e.g., persons aged >60 years).

The incidence of acute hepatitis C has declined substantially (from 5.2 cases per 100,000 population in 1995 to 0.5 cases per 100,000 population in 2007) among persons aged 25--39 years, the age group that historically had the highest rates of infection. In 2007, cases among children continued to be rare. Progress has been made in reducing disparities in racial/ethnic-specific rates; during 2004-- 2007, the incidence of acute hepatitis C was similar across all racial/ethnic populations with the exception of AI/ANs, for whom rates were higher. Close monitoring of the incidence in specific communities remains an important tool in the detection of a disparity. However, previous racial/ethnic disparities in incidence were demonstrated by disparities in prevalence, with a higher rate of chronic infection among non-Hispanic blacks than among other racial/ethnic populations (6).

Although the number of new cases of acute hepatitis C has declined, a substantial burden of disease as a result of chronic infection still persisted in 2007. Approximately 3.2 million persons in the United States were chronically infected with HCV; the peak prevalence occurred among persons aged 40--49 years, the majority of whom likely became infected in the 1970s and 1980s, when incidence was highest (6). Data on both the incidence of acute disease and the prevalence of chronic infection are needed to assess the burden of disease attributable to HCV infection in the United States comprehensively. However, surveillance for acute hepatitis C remains critical as the best means to assess the impact of primary prevention strategies, determine where transmission continues to occur, and identify and control outbreaks.

Limitations

The analyses summarized in this report were performed on the basis of cases of symptomatic, serologically confirmed acute viral hepatitis reported to NNDSS. NNDSS is a passive surveillance system and subject to at least two limitations. First, the cases reported represent only a portion of all infections. Surveillance for acute disease is not intended to identify asymptomatic infections, and certain persons with symptomatic illness also are not identified and reported. Studies have estimated that for each hepatitis case reported to NNDSS, two to five cases that would meet the case definition are not reported (24,25). Second, completeness of case reports also can vary. However, available evidence suggests that no systematic changes have occurred in reporting patterns since 1990 (CDC, unpublished data, 2007). The national trends in this report also are reflected in CDC's Sentinel Counties Study of Acute Viral Hepatitis, in which the accuracy and completeness of reporting were assessed and known to be high (26). Rates based on NNDSS data represent a lower estimate of the incidence of acute viral hepatitis in the United States because not all cases of acute hepatitis are reported. However, because the proportion of cases not reported has not changed systematically over time, these estimates accurately reflect changing trends in these diseases in the United States.

Conclusion

Surveillance for acute viral hepatitis accomplishes multiple key public health objectives. Surveillance detects outbreaks, identifies persons in need of postexposure prophylaxis, and provides information on trends in the incidence and risks for recent infection that is needed to develop and evaluate prevention strategies. The minimum data required to conduct surveillance for acute viral hepatitis are laboratory confirmation of cases to distinguish the types of acute hepatitis and clinical information to verify the case definition. The collection of risk data provides valuable information for identifying modes of hepatitis transmission and for implementing and evaluating prevention strategies.

With continuing declines in the incidence of all types of acute viral hepatitis, surveillance efforts should be enhanced to ensure complete and accurate reporting of all cases so that the impact of strategies for preventing or eliminating transmission of these diseases can be monitored and evaluated. In addition, effective and feasible systems for conducting surveillance for chronic hepatitis virus infections are needed to characterize the burden of chronic disease that remains in the United States as a result of these infections.

Acknowledgment

Data for this report were provided by State and Territorial Health Departments.

References

  1. CDC. Prevention of hepatitis A through active or passive immunization. MMWR 1996;45(No. RR-15).
  2. CDC. Prevention of hepatitis A through active or passive immunization. MMWR 1999;48(No. RR-12).
  3. CDC. Prevention of hepatitis A through active or passive immunization: recommendations of the Advisory Committee on Immunization Practices (ACIP). MMWR 2006;55(No. RR-7).
  4. CDC. A comprehensive immunization strategy to eliminate transmission of hepatitis B virus infection in the United States. Part 1: immunization of infants, children, and adolescents. MMWR 2005;54(No. RR-16).
  5. CDC. A comprehensive immunization strategy to eliminate transmission of hepatitis B virus infection in the United States---recommendations of the Advisory Committee on Immunization Practices (ACIP). Part 2: immunization of adults. MMWR 2006;55(No. RR-16).
  6. Armstrong GL, Wasley AM, Simard EP, McQuillan GM, Kuhnert WL, Alter MJ. The prevalence of hepatitis C virus infection in the United States, 1999 through 2002. Ann Intern Med 2006;144:705--14.
  7. CDC. Recommendations for prevention and control of hepatitis C virus (HCV) infection and HCV-related chronic disease. MMWR 1998;47(No. RR-19).
  8. CDC. Estimates of disease burden from viral hepatitis. Atlanta, GA: US Department of Health and Human Services, CDC; 2007. Available at http://www.cdc.gov/hepatitis/PDFs/disease_burden.pdf.
  9. Wasley A, Samandari T, Bell BP. Incidence of hepatitis A in the United States in the era of vaccination. JAMA 2005;294:194--201.
  10. Bell BP, Kruszon-Moran D, Shapiro CN, et al. Hepatitis A virus infection in the United States: serologic results from the Third National Health and Nutrition Examination Survey. Vaccine 2005;23:5798--806.
  11. Bialek SR, Thoroughman DA, Hu D, et al. Hepatitis A incidence and hepatitis A vaccination among American Indians and Alaska Natives, 1990--2001. Am J Public Health 2004;94:996--1001.
  12. CDC. National, state, and local area vaccination coverage among children aged 19--35 months---United States, 2007. MMWR 2008;57:961--66.
  13. CDC. The National Center for Immunization and Respiratory Diseases 2008 annual report. Atlanta, GA: US Department of Health and Human Services, CDC; 2008. Available at http://www.cdc.gov/ncird/annual-rpts/default.html.
  14. Perz JF, Elm JL, Fiore AE, Huggler JI, Kuhnert WL, Effler PV. Near elimination of hepatitis B virus infections among Hawaii elementary school children following universal infant hepatitis B vaccination. Pediatrics 2006;118:1403--8.
  15. Fiore A, Neeman R, Lee S, et al. Seroprevalence of hepatitis B virus (HBV) infection among Asian immigrants and their US-born children in Georgia [Abstract No. 586]. In: Abstracts of the Infectious Diseases Society of America 41st Annual Meeting, San Diego, California, October 9--12, 2003. Alexandria, VA: Infectious Diseases Society of America; 2003.
  16. Simard E, Miller JT, George PA, et al. Hepatitis B vaccination coverage levels among health care workers in the United States, 2002--2003. Infect Control Hosp Epidemiol 2007;28:783--90.
  17. Finelli L, Miller JT, Tokars JI, Alter MJ, Arduino MJ. National surveillance of dialysis-associated diseases in the United States, 2002. Sem Dialysis 2005;18:52-- 61.
  18. Williams IT, Perz JF, Bell BP. Viral hepatitis transmission in ambulatory health care settings. Clin Infect Dis 2004;38:1592--8.
  19. CDC. Transmission of hepatitis B and C viruses in outpatient settings---New York, Oklahoma, and Nebraska, 2000--2002. MMWR 2003;52:901--6.
  20. Thompson ND, Perz JF, Moorman AC, Holmberg SD. Nonhospital health care--associated hepatitis B and C virus transmission: United States, 1998--2008. Ann Intern Med 2009;150:33--9.
  21. CDC. Recommendations for identification and public health management of persons with chronic hepatitis B virus infection. MMWR 2008;57(No. RR-8).
  22. Ward, JW. Time for renewed commitment to viral hepatitis prevention. Am J Pub Health 2008;98:779--81.
  23. CDC. Acute hepatitis C virus infections attributed to unsafe injection practices at an endoscopy clinic---Nevada, 2007. MMWR 2008;57:513--7.
  24. Doyle TJ, Glynn MK, Groseclose SL. Completeness of notifiable infectious disease reporting in the United States: an analytical literature review. Am J Epidemiol 2002;155:866--74.
  25. Armstrong GL, Bell BP. Hepatitis A virus infections in the United States: model-based estimates and implications for childhood immunization. Pediatrics 2002;109:839--45.
  26. Alter MJ, Mares A, Hadler SC, Maynard JE. The effect of underreporting on the apparent incidence and epidemiology of acute viral hepatitis. Am J Epidemiol 1987;125:133--9.

*Midwest: Illinois, Indiana, Iowa, Kansas, Michigan, Minnesota, Missouri, Nebraska, North Dakota, Ohio, South Dakota, and Wisconsin; Northeast: Connecticut, Maine, Massachusetts, New Hampshire, New Jersey, New York, Pennsylvania, Rhode Island, and Vermont; South: Alabama, Arkansas, Delaware, District of Columbia, Florida, Georgia, Kentucky, Louisiana, Maryland, Mississippi, North Carolina, Oklahoma, South Carolina, Tennessee, Texas, Virginia, and West Virginia; and West: Alaska, Arizona, California, Colorado, Hawaii, Idaho, Montana, Nevada, New Mexico, Oregon, Utah, Washington, and Wyoming.

TABLE 1. Percentage of acute hepatitis cases that included risk factor data, by state/area --- United States, 2007

85%--100%

61%--84%

11%--60%

0--10%*

Colorado

Alabama

Idaho

Alaska

Connecticut

Arizona

Kansas

California

Florida

Arkansas

Kentucky

Delaware

Hawaii

Indiana

Louisiana

Georgia

Iowa

Maryland

Texas

Illinois

Maine

Massachusetts

Virginia

Mississippi

Nevada

Michigan

Wyoming

Montana

North Carolina

Minnesota

New Hampshire

North Dakota

Missouri

New Jersey

Oklahoma

Nebraska

New York City

Rhode Island

New Mexico

Oregon

South Carolina

New York

Washington

Ohio

West Virginia

Pennsylvania

South Dakota

Tennessee

Utah

Vermont

Wisconsin

* No risk factor data were available for states in this category.


TABLE 2. Reported number and rate* of cases of acute viral hepatitis, by type and year --- United States, 1966--2007

Hepatitis A

Hepatitis B

Hepatitis C/Non-A, non-B

Year

No.

Rate

No.

Rate

No.

Rate

1966

32,859

16.8

1,497

0.8

---

---

1967

38,909

19.7

2,458

1.3

---

---

1968

45,893

23.0

4,829

2.5

---

---

1969

48,416

24.0

5,909

3.0

---

---

1970

56,797

27.9

8,310

4.1

---

---

1971

59,606

28.9

9,556

4.7

---

---

1972

54,074

26.0

9,402

4.5

---

---

1973

50,749

24.2

8,451

4.0

---

---

1974

40,358

19.5

10,631

5.2

---

---

1975

35,855

16.8

13,121

6.3

---

---

1976

33,288

15.5

14,973

7.1

---

---

1977

31,153

14.4

16,831

7.8

---

---

1978

29,500

13.5

15,016

6.9

---

---

1979

30,407

13.8

15,452

7.0

---

---

1980

29,087

12.8

19,015

8.4

---

---

1981

25,802

11.3

21,152

9.2

---

---

1982

23,403

10.1

22,177

9.6

2,629§

1.1§

1983

21,532

9.2

24,318

10.4

3,470§

1.5§

1984

22,040

9.3

26,115

11.1

3,871§

1.6§

1985

23,257

10.0

26,654

11.5

4,192§

1.8§

1986

23,430

10.0

26,107

11.2

3,634§

1.6§

1987

25,280

10.4

25,916

10.7

2,999§

1.2§

1988

28,507

11.6

23,177

9.4

2,619§

1.1§

1989

35,821

14.4

23,419

9.4

2,529§

1.0§

1990

31,441

12.6

21,102

8.5

2,553§

1.0§

1991

24,378

9.7

18,003

7.1

3,582§

1.4§

1992

23,112

9.1

16,126

6.3

6,010

2.4

1993

24,238

9.4

13,361

5.2

4,786

1.9

1994

26,796

10.3

12,517

4.8

4,470

1.8

1995

31,582

12.0

10,805

4.1

4,576

1.7

1996

31,032

11.7

10,637

4.0

3,716

1.4

1997

30,021

11.2

10,416

3.9

3,816

1.4

1998

23,229

8.6

10,258

3.8

3,518

1.3

1999

17,047

6.3

7,694

2.8

3,111

1.1

2000

13,397

4.8

8,036

2.9

3,197

1.1

2001

10,615

3.7

7,844

2.8

1,640**

0.7**

2002

8,795

3.1

8,064

2.8

1,223††

0.5††

2003

7,653

2.6

7,526

2.6

891††

0.3††

2004

5,683

1.9

6,212

2.1

758

0.3

2005

4,488

1.5

5,494

1.8

694

0.2

2006

3,579

1.2

4,713§§

1.6§§

802

0.3

2007¶¶

2,979

1.0

4,519

1.5

849

0.3

SOURCE: National Notifiable Diseases Surveillance System, 1966--2007.

* Rate per 100,000 population.

Non-A, non-B hepatitis became a reportable disease in 1982.

§ Numbers and rates shown for hepatitis C/Non-A, non-B hepatitis were unreliable, reflecting the erroneous reporting of chronically infected persons as acute cases that occurred when testing for antibody to hepatitis C virus (anti-HCV) first became widely available.

Excludes cases from New York City; data not available for 1985--1986.

** Excludes cases from New Jersey and Missouri.

†† Excludes cases from Missouri.

§§ Excludes cases from Arizona.

¶¶ Excludes cases from the District of Columbia; data not available for 2007.


TABLE 3. Incidence* of acute hepatitis A, by state/area and year --- United States, 1995--2007

State/Area

1995

1996

1997

1998

1999

2000

2001

2002

2003

2004

2005

2006

2007

Alabama

2.2

5.1

2.0

1.9

1.4

1.3

1.8

0.9

0.5

0.2

1.0

0.3

0.5

Alaska

8.3

8.9

5.6

2.8

2.4

2.1

2.5

1.9

1.5

0.6

0.6

0.3

0.7

Arizona

31.6

39.9

51.2

39.5

14.6

9.0

7.7

5.6

5.0

4.6

3.3

2.9

2.4

Arkansas

26.7

20.0

8.8

3.2

3.2

5.4

2.7

2.7

1.4

2.2

0.7

1.7

0.5

California

21.4

20.9

19.9

12.8

10.4

8.8

5.4

4.1

3.2

2.5

2.7

2.7

1.6

Colorado

13.6

13.4

10.3

8.7

5.4

5.2

2.0

1.6

1.4

1.1

1.0

0.9

0.5

Connecticut

2.6

4.3

4.6

3.0

3.9

5.2

7.0

2.7

2.6

2.1

1.5

1.3

0.7

Delaware

1.7

2.9

4.2

0.8

0.3

1.9

2.0

1.9

1.1

0.7

0.7

1.5

1.0

District of Columbia

4.7

7.2

6.8

12.7

11.4

7.0

14.0

14.3

7.7

1.3

1.0

1.7

---

Florida

4.7

5.1

5.5

4.1

5.7

4.1

5.2

6.3

2.3

1.5

1.5

1.2

0.8

Georgia

1.2

5.6

10.2

11.5

6.2

4.6

11.1

6.0

9.1

3.6

1.4

0.6

0.7

Hawaii

14.1

10.1

12.4

4.5

2.0

1.1

1.4

2.0

1.0

2.1

1.9

0.9

0.5

Idaho

30.3

20.8

12.4

19.1

3.8

3.5

4.3

2.3

1.3

1.4

1.4

0.6

0.5

Illinois

5.6

6.4

7.2

6.8

7.0

5.6

3.5

2.1

1.5

1.2

1.0

0.8

0.9

Indiana

3.3

6.3

5.6

2.9

1.8

2.2

1.7

0.8

1.2

1.0

0.4

0.5

0.4

Iowa

3.8

11.7

17.2

14.0

5.6

2.3

1.2

2.2

1.4

1.7

0.7

0.4

1.6

Kansas

6.3

15.1

10.0

4.1

2.5

4.1

6.7

2.6

1.0

0.8

0.6

1.0

0.4

Kentucky

1.1

1.4

2.0

0.8

1.7

1.6

3.6

1.1

0.9

0.7

0.6

0.8

0.5

Louisiana

4.5

6.0

6.1

4.0

4.9

2.4

1.9

2.0

1.1

1.1

1.4

0.9

0.7

Maine

2.4

2.3

5.3

1.6

2.2

1.7

0.9

0.6

1.6

1.3

0.6

0.6

0.4

Maryland

4.4

5.1

3.7

8.1

5.9

4.0

5.5

5.5

3.2

1.9

1.5

1.1

1.3

Massachusetts

2.7

3.8

4.2

2.1

2.3

2.2

5.9

2.2

3.4

10.3

4.5

1.3

1.0

Michigan

3.8

5.2

14.0

21.7

12.7

4.9

3.3

2.2

2.0

1.4

1.0

1.2

1.0

Minnesota

4.3

3.8

5.2

3.1

2.7

3.7

0.9

1.1

1.0

1.1

0.6

0.6

1.8

Mississippi

8.3

8.3

3.5

2.5

4.6

5.0

1.3

2.2

0.6

0.8

0.7

0.3

0.3

Missouri

25.1

26.3

21.3

11.7

13.0

4.6

1.6

1.5

1.0

0.6

0.4

0.8

0.4

Montana

19.9

14.8

8.1

10.9

2.0

0.8

1.8

1.4

0.9

0.8

1.1

1.2

0.9

Nebraska

4.0

9.5

6.8

1.6

3.2

2.2

2.2

1.1

0.8

0.7

0.9

1.0

1.1

Nevada

21.9

28.1

26.1

13.0

8.1

4.5

3.3

2.5

2.3

0.7

0.9

0.4

0.5

New Hampshire

1.1

1.9

3.0

1.6

1.5

1.5

1.4

0.9

1.5

2.1

6.3

1.7

0.9

New Jersey

3.9

4.9

3.9

4.2

1.9

3.4

3.3

2.2

2.4

2.2

1.8

1.3

1.4

New Mexico

48.0

20.8

20.4

8.9

3.2

3.8

2.2

1.7

1.3

1.3

1.5

0.8

0.6

New York

8.4

5.8

7.2

5.3

3.8

4.2

4.1

3.3

3.1

2.4

2.0

1.1

1.2

North Carolina

1.5

2.8

2.8

1.7

2.2

1.9

3.0

2.5

1.5

1.2

1.0

1.2

0.7

North Dakota

3.6

21.8

2.2

0.6

0.5

0.6

0.5

0.6

0.3

0.3

0.3

0.5

0.3

Ohio

15.8

7.0

3.0

3.5

5.8

2.3

2.3

2.6

1.5

0.4

0.4

0.5

0.6

Oklahoma

43.7

78.6

43.6

20.0

15.9

7.9

3.3

1.5

0.8

0.6

0.2

0.3

0.4

Oregon

86.7

27.4

11.6

13.3

7.6

5.0

3.0

1.8

1.7

1.5

1.3

1.2

0.8

Pennsylvania

2.1

4.5

4.2

3.5

3.0

3.6

2.5

2.4

8.2

1.2

0.7

0.5

0.8

Rhode Island

3.5

2.6

13.3

1.8

3.5

3.0

7.1

3.2

1.6

2.2

1.8

1.5

1.3

South Carolina

1.2

1.5

2.9

1.4

1.2

2.4

2.1

1.6

1.3

0.9

0.9

0.6

0.4

South Dakota

13.6

5.9

3.7

5.5

1.4

0.4

0.4

0.4

---

0.5

0.1

1.2

0.8

Tennessee

37.2

14.6

7.8

4.3

2.7

2.7

3.3

2.1

3.5

1.6

2.4

1.2

0.9

Texas

16.1

18.2

23.3

17.9

12.6

9.2

2.6

3.9

2.8

2.8

2.0

1.4

1.1

Utah

35.2

53.1

26.6

9.3

3.0

3.2

2.9

2.4

1.7

1.5

0.8

0.5

0.3

Vermont

1.4

2.0

2.5

2.9

4.0

1.6

2.6

0.6

1.0

1.3

0.8

1.3

1.3

Virginia

3.6

3.3

3.7

3.3

2.7

2.3

2.3

2.2

1.9

1.9

1.2

0.8

1.2

Washington

17.3

18.2

18.1

18.2

8.8

5.0

3.1

2.7

1.2

1.1

0.8

0.8

0.9

West Virginia

1.3

1.0

0.7

0.5

2.6

3.1

1.6

1.3

2.1

0.3

0.2

0.3

0.6

Wisconsin

3.6

3.8

3.6

3.6

1.5

2.0

1.6

3.6

0.8

2.2

0.9

0.8

0.6

Wyoming

23.0

8.5

7.3

7.7

1.9

0.8

1.4

0.6

0.4

1.0

0.2

0.4

0.6

* Per 100,000 population.

No cases were reported.


TABLE 4. Number and percentage* of patients with acute hepatitis A who reported selected epidemiologic characteristics, by age group --- United States, 2007

Characteristic

Age group (yrs)

<15

15--39

≥40

Total

No.

(%)

No.

(%)

No.

(%)

No.

(%)

Cases reported with risk factor data

Sexual or household contact with
hepatitis A patient

40/172

(23.3)

29/465

(6.2)

20/502

(4.0)

89/1,139

(7.8)

International travel§

66/212

(31.1)

109/528

(20.6)

55/573

(9.6)

230/1,313

(17.5)

Homosexual activity (male)

1/3

(33.3)

3/72

(4.2)

5/78

(6.4)

9/153

(5.9)

Injection-drug use

1/148

(0.7)

6/340

(1.8)

4/400

(1.0)

11/888

(1.2)

Child/employee in day care center

33/219

(15.1)

12/541

(2.2)

6/599

(1.0)

51/1,359

(3.8)

Suspected food- or waterborne outbreak

11/164

(6.7)

35/421

(8.3)

22/462

(4.8)

68/1,047

(6.5)

Contact of day care child/employee

13/196

(6.6)

30/489

(6.1)

13/521

(2.5)

56/1,206

(4.6)

Other contact with hepatitis A patient**

31/172

(18.0)

46/465

(9.9)

26/502

(5.2)

103/1,139

(9.0)

Unknown

98/236

(41.5)

373/591

(63.1)

534/658

(81.2)

1,005/1,485

(67.7)

Cases reported with no risk factor
data available

195

682

609

1,486

Total cases reported

431

1,273

1,267

2,971

* The percentage of cases for which a specific risk factor was reported was calculated on the basis of the total number of cases for which any information for that exposure was reported. Percentages might not total 100% because multiple risk factors might have been reported for a single case.

Exposures that occurred during the 2--6 weeks before onset of illness.

§ Of persons with hepatitis A whose cases are attributed to travel to a region endemic for hepatitis A, 85% traveled in Mexico or South/Central America, 6% in Africa, 4% in Asia/South Pacific, and 6% in the Middle East.

Among males, 11% reported homosexual behavior.

** For example, playmate, drug-sharing contact, or care provider.


TABLE 5. Clinical characteristics of patients with acute hepatitis A, by age group --- United States, 2007*

Characteristic

Age group (yrs)

<5

5--14

15--39

40--59

≥60

Total

No.

(%)

No.

(%)

No.

(%)

No.

(%)

No.

(%)

No.

(%)

Died from hepatitis

0/64

(0)

0/191

(0)

2/603

(0.3)

3/400

(0.8)

7/273

(2.6)

12/1,531

(0.8)

Hospitalized for hepatitis

14/67

(20.9)

43/203

(21.2)

212/639

(33.2)

142/423

(33.6)

160/301

(53.2)

571/1,633

(35.0)

Had jaundice

42/68

(61.8)

167/197

(84.8)

494/617

(80.1)

286/422

(67.8)

159/280

(56.8)

1,148/1,584

(72.5)

* A total of 2,979 persons with acute hepatitis A, including 12 who died, were reported. Percentages were calculated on the basis of the number of case reports with data for age group and the outcome of interest (i.e., jaundice, hospitalization, or death).


TABLE 6. Incidence* of acute hepatitis B, by state/area and year --- United States, 1995--2007

State/Area

1995

1996

1997

1998

1999

2000

2001

2002

2003

2004

2005

2006

2007

Alabama

2.7

1.8

1.9

1.7

2.0

1.6

2.0

2.3

2.1

1.8

2.0

2.1

2.8

Alaska

2.2

2.6

2.5

2.1

2.9

2.1

1.6

1.9

1.2

1.7

1.2

1.2

1.3

Arizona

2.8

5.3

4.4

4.0

2.9

4.2

3.1

4.6

5.1

5.0

6.3

---

1.3

Arkansas

3.3

3.7

4.2

4.5

3.8

4.1

4.0

4.4

3.3

4.3

2.6

3.1

2.5

California

5.5

5.4

5.1

4.4

3.7

3.2

2.5

1.8

1.9

1.4

1.1

1.2

1.1

Colorado

3.7

3.5

3.8

2.6

2.4

2.5

2.3

1.8

1.8

1.2

1.3

0.7

0.7

Connecticut

2.6

2.5

1.7

1.2

1.2

1.4

1.4

2.0

2.8

3.1

1.4

1.4

1.1

Delaware

1.3

1.2

1.0

0.5

0.1

1.9

3.6

1.7

1.7

6.4

4.4

5.5

1.7

District of Columbia

3.8

5.9

5.7

3.6

4.8

6.1

2.3

3.9

2.3

3.4

2.4

1.5

---

Florida

4.7

4.6

4.4

3.5

3.9

3.8

3.1

3.3

3.7

2.9

2.7

2.3

1.8

Georgia

1.4

0.8

3.0

2.7

3.0

4.3

5.2

5.7

7.7

1.2

2.2

2.2

1.6

Hawaii

2.7

1.2

0.9

1.5

1.3

1.0

1.8

1.0

2.2

0.9

0.8

0.6

1.3

Idaho

8.8

7.4

4.5

4.0

2.3

0.8

0.8

0.5

0.6

1.0

1.0

1.0

1.0

Illinois

2.5

2.8

2.4

1.9

1.7

1.4

1.7

1.5

1.0

0.9

1.2

1.0

1.0

Indiana

4.2

2.5

1.7

2.0

1.3

1.4

1.2

1.4

1.1

1.3

0.9

1.3

1.0

Iowa

1.6

2.6

1.5

1.9

1.5

1.3

0.8

0.7

0.6

0.6

1.1

0.7

0.9

Kansas

2.0

1.2

1.2

1.1

0.6

1.0

0.5

0.9

0.7

0.7

1.2

0.4

0.3

Kentucky

1.8

2.0

1.1

1.2

1.3

2.0

1.6

1.6

2.3

2.1

1.6

1.6

1.8

Louisiana

5.6

4.8

4.8

5.0

3.9

3.5

2.8

3.0

2.6

1.5

1.5

1.5

2.3

Maine

1.0

0.6

0.5

0.4

0.2

0.4

0.5

1.1

0.5

0.9

1.1

2.0

1.4

Maryland

5.2

3.3

3.4

2.8

2.9

2.5

2.6

2.4

2.4

2.8

2.9

2.6

2.0

Massachusetts

1.9

1.8

1.3

1.3

0.7

0.2

0.6

2.6

3.3

3.1

0.8

0.3

0.7

Michigan

4.1

4.3

4.7

4.8

5.2

4.3

6.2

3.3

2.2

2.4

1.7

1.4

1.2

Minnesota

2.0

2.0

1.3

1.5

1.7

1.2

0.9

1.0

1.1

1.3

0.8

0.6

0.5

Mississippi

---

9.0

6.6

3.4

4.7

3.9

3.3

3.2

3.9

3.5

1.8

0.4

1.3

Missouri

8.2

6.1

6.7

4.6

4.2

2.7

2.3

2.1

4.3

2.5

1.3

1.1

0.7

Montana

2.8

2.4

1.4

0.9

2.4

0.9

0.3

1.1

1.7

1.5

1.1

0.5

0.1

Nebraska

2.4

2.4

1.6

1.4

1.3

2.6

2.0

1.8

1.8

2.5

1.0

1.1

0.7

Nevada

4.3

6.0

4.8

4.6

3.3

2.7

2.5

3.3

3.9

3.3

2.0

1.7

1.9

New Hampshire

2.0

1.8

1.5

1.8

1.4

1.5

1.3

2.0

1.9

3.3

2.2

0.8

0.4

New Jersey

4.6

3.5

3.1

2.5

1.7

2.1

3.4

4.0

2.1

2.5

2.7

1.9

1.9

New Mexico

19.1

24.4

14.9

17.9

12.4

7.9

7.4

7.9

1.9

1.1

1.0

1.2

0.7

New York

5.2

4.7

4.5

3.8

2.7

3.7

4.3

4.6

1.6

1.3

1.2

1.0

1.1

North Carolina

4.3

4.6

3.6

3.2

2.9

3.2

2.7

2.8

1.9

2.1

1.9

1.8

1.4

North Dakota

0.8

0.3

1.1

0.6

0.3

0.5

0.3

1.3

0.3

0.6

0

0.2

0.3

Ohio

1.0

1.1

0.8

0.7

0.8

0.9

0.8

1.0

1.4

1.0

1.2

1.1

1.1

Oklahoma

5.3

1.7

2.0

5.2

5.5

5.2

3.3

3.2

2.2

2.3

1.7

2.7

4.2

Oregon

4.1

4.0

3.7

6.1

3.5

3.6

4.8

3.6

3.4

3.1

2.6

2.2

1.6

Pennsylvania

2.4

2.4

2.9

3.0

2.4

2.2

2.7

2.8

2.4

2.4

1.7

1.4

1.5

Rhode Island

1.0

1.9

2.2

7.6

4.3

4.4

3.1

3.4

2.0

0.6

0.5

1.0

1.5

South Carolina

1.5

2.7

2.6

1.7

1.6

0.6

1.8

3.3

4.8

3.5

3.1

2.2

1.5

South Dakota

0.3

0.7

0.1

0.5

0.1

0.3

0.1

0.4

0.5

0.1

1.0

0.6

0.9

Tennessee

12.3

9.7

8.4

5.4

3.8

4.2

4.8

2.5

3.9

3.7

2.7

2.6

2.3

Texas

6.5

6.6

6.4

9.9

4.3

5.1

3.3

5.1

4.4

3.1

3.3

3.5

3.1

Utah

3.8

6.4

4.5

3.1

1.8

1.6

1.1

2.3

2.2

2.1

1.6

1.0

0.6

Vermont

1.2

2.4

1.9

1.7

0.8

1.0

0.8

1.1

0.6

1.0

1.0

0.6

0.8

Virginia

1.8

2.4

2.0

1.6

1.5

2.4

3.0

3.1

3.1

4.1

1.9

1.0

1.9

Washington

4.2

2.9

2.1

2.4

1.9

2.2

2.9

1.4

1.5

1.0

1.0

1.2

1.0

West Virginia

2.9

2.0

0.9

0.8

1.6

1.7

1.9

1.4

2.4

2.9

3.8

4.1

4.5

Wisconsin

1.6

1.7

10.9

9.8

0.6

0.8

0.9

0.9

0.9

0.7

0.9

0.6

0.4

Wyoming

6.9

9.4

5.2

2.3

2.9

0.6

0.6

3.4

6.2

1.8

0.6

0.2

1.0

* Per 100,000 population.

No cases were reported.


TABLE 7. Number and percentage* of patients with acute hepatitis B who reported selected epidemiologic characteristics, by age group --- United States, 2007

Characteristic

Age group (yrs)

<45

≥45

Total

No.

(%)

No.

(%)

No.

(%)

Cases reported with risk factor data

Injection-drug use

229/1,200

(19.1)

55/688

(8.0)

284/1,888

(15.0)

Sexual contact with hepatitis B patient

62/851

(7.3)

22/505

(4.4)

84/1,356

(6.2)

Household contact of hepatitis B patient

19/851

(2.2)

12/505

(2.4)

31/1,356

(2.3)

Homosexual activity (male)§

46/400

(11.5)

16/189

(8.5)

62/589

(10.5)

Medical employee with blood contact

5/1,236

(0.4)

6/719

(0.8)

11/1,955

(0.6)

Hemodialysis

1/1,032

(0.1)

2/589

(0.3)

3/1,621

(0.2)

Had>1 sex partner

322/744

(43.3)

118/405

(29.1)

440/1,149

(38.3)

Heterosexual

293/708

(41.4)

110/390

(28.2)

403/1,098

(36.7)

Homosexual or bisexual (male)

29/36

(80.6)

8/15

(53.3)

37/51

(72.5)

Blood transfusion

1/1,221

(0.1)

8/709

(1.1)

9/1,930

(0.5)

Surgery

102/1,165

(8.8)

112/671

(16.7)

214/1,836

(11.7)

Percutaneous injury (e.g., needlestick)

52/1,080

(4.8)

21/631

(3.3)

73/1,711

(4.3)

Unknown

757/1,363

(55.5)

483/775

(62.3)

1,240/2,138

(58.0)

Cases reported with no risk factor data available

1,468

893

2,361

Total cases reported

2,831

1,668

4,499

* The percentage of cases for which a specific risk factor was reported was calculated on the basis of the total number of cases for which any information for that exposure was reported. Percentages might not total 100% because multiple risk factors might have been reported for a single case.

Exposures that occurred during the 6 weeks--6 months before onset of illness.

§ Among males, 18% reported homosexual behavior.


TABLE 8. Clinical characteristics of patients with acute hepatitis B, by age group --- United States, 2007*

Age group (yrs)

Characteristic

<15

15--39

40--59

≥60

Total

No.

(%)

No.

(%)

No.

(%)

No.

(%)

No.

(%)

Died from hepatitis

0/2

(0)

10/1,181

(0.8)

18/1,093

(1.6)

10/226

(4.4)

38/2,502

(1.5)

Hospitalized for hepatitis

2/5

(40.0)

515/1,271

(40.5)

472/1,163

(40.6)

86/224

(38.4)

1,075/2,663

(40.4)

Had jaundice

1/3

(33.3)

981/1,228

(79.9)

778/1,059

(73.5)

136/205

(66.3)

1,896/2,495

(76.0)

* A total of 4,519 persons with acute hepatitis B, including 38 who died, were reported. Percentages were calculated on the basis of the number of case reports with data for age group and the outcome of interest (i.e., jaundice, hospitalization, or death).


TABLE 9. Incidence* of acute hepatitis C, by state/area and year --- United States, 1995--2007

State/Area

1995

1996

1997

1998

1999

2000

2001

2002

2003

2004

2005

2006

2007

Alabama

0.1

0.2

0.3

0.1

0

0.2

0.1

0.2

0.1

0.1

0.3

0.2

0.2

Alaska

0.5

0.5

---

---

---

---

---

---

---

---

---

---

0.1

Arizona

1.4

1.7

0.6

0.4

1.0

0.4

0.2

0.1

0.1

0

---

---

---

Arkansas

0.3

0.3

0.6

1.2

1.2

0.4

0.6

0.4

0.1

0.1

0

0

---

California

1.6

1.5

2.7

2.6

0.6

0.3

0.3

0.2

0.1

0.1

0.1

0.1

0.2

Colorado

1.8

1.7

1.0

0.8

0.9

0.4

0.2

0.1

0.3

0.3

0.5

0.6

0.4

Connecticut

---

---

---

---

---

---

---

---

---

0.1

0.3

0.4

0.6

Delaware

---

0.1

---

---

---

0.3

1.4

---

---

5.4

---

0.4

---

District of Columbia

---

---

---

---

0.2

0.5

---

---

---

0.7

0

0.3

---

Florida

0.9

0.9

1.0

0.7

0.5

0.3

0.4

0.5

0.4

0.2

0.1

0.3

0.1

Georgia

0.4

---

---

0.1

0.1

0

---

0.7

0.1

0.2

0.1

0.1

0.2

Hawaii

10.5

18.3

15.3

4.5

---

0.2

---

0.1

0.3

0.2

0.1

0.5

---

Idaho

5.0

8.3

7.1

7.1

0.6

0.2

0.2

0.1

0.1

0.1

0.1

0.2

0.3

Illinois

0.7

0.8

0.7

0.3

0.4

0.2

0.1

0.2

0.2

0.1

0

0.1

0.1

Indiana

0.2

0.1

0.2

0.1

0.1

---

0

0

0.2

0.2

0.4

0

0.2

Iowa

0.5

1.9

1.0

0.3

---

0.1

---

0

0

---

---

---

---

Kansas

0.7

0.6

0.5

0.2

---

0.3

0.3

---

---

---

---

---

---

Kentucky

0.9

0.7

0.4

0.6

0.7

1.0

0.3

0.1

0.6

0.7

0.4

0.9

0.7

Louisiana

5.1

6.7

6.3

3.1

6.9

10.2

3.4

2.2

2.3

0.1

0

0.2

0.1

Maine

---

---

---

---

0.2

0.2

0.1

---

0.2

---

---

0.2

0.1

Maryland

0.1

0.1

0.2

0.4

0.4

0.3

0.2

0.3

0.2

0.3

0.1

0.3

0.3

Massachusetts

1.7

1.2

0.8

0.8

0.1

0.3

0.4

0.1

---

0.1

---

---

0.2

Michigan

2.5

3.6

4.0

4.8

8.3

2.0

1.4

0.9

1.0

0.8

1.0

1.0

0.9

Minnesota

0.1

0.2

0.1

0.4

0.5

0.3

0.7

0.3

0.5

0.4

0.3

0.2

0.5

Mississippi

---

5.6

4.1

3.0

7.1

10.7

3.8

3.2

1.5

1.0

0.6

0.1

0.5

Missouri

0.4

0.4

0.2

0.3

5.8

10.8

19.8

10.8

4.5

0.1

0.2

0.5

0.1

Montana

2.1

2.3

2.7

0.9

0.6

0.6

0.1

0.1

0.4

0.2

0.1

---

0.1

Nebraska

1.4

0.5

0.2

0.3

0.2

0.3

0.6

0.9

0.2

0.1

0.2

---

0.1

Nevada

1.7

1.3

1.1

1.1

0.6

0.9

0.6

1.4

1.2

0.7

0.4

0.3

0.4

New Hampshire

1.2

0.6

---

---

---

---

---

---

---

---

---

---

---

New Jersey

2.4

---

---

---

---

6.7

14.3

0.1

---

---

0.2

1.0

1.1

New Mexico

3.2

4.5

3.5

5.6

2.0

0.9

0.7

0.2

---

0.4

0.1

0.2

0.3

New York

1.9

1.5

1.5

0.7

0.4

0.2

0.2

0.3

0.1

0.1

0.1

0.2

0.2

North Carolina

0.9

0.6

0.7

0.3

0.4

0.2

0.3

0.3

0.2

0.1

0.2

0.2

0.2

North Dakota

1.1

---

0.6

---

0.2

0.2

---

---

---

0.8

0.2

---

---

Ohio

0.1

0.3

0.2

0.1

0

0.1

0.1

0

0.1

0.1

0.1

0.1

0.2

Oklahoma

1.7

0.2

0.3

0.7

0.5

0.5

0.2

0.6

0.2

0.2

0.4

0.5

1.4

Oregon

1.2

0.3

0.1

0.6

0.7

0.8

0.4

0.4

0.4

0.3

0.4

0.3

0.4

Pennsylvania

0.5

0.5

0.7

1.0

0.6

0.4

1.2

0.5

0.9

0.5

0.5

0.4

0.3

Rhode Island

0.8

0.6

0.8

0.4

0.3

0.7

---

0.1

0.1

---

---

0.1

0.8

South Carolina

0.6

0.9

1.1

0.5

0.6

0.1

0.3

0.1

0.6

0.1

0

---

---

South Dakota

0.1

---

---

---

---

---

---

0.1

---

---

---

---

---

Tennessee

18.8

7.5

4.5

3.2

2.2

2.0

1.2

0.5

0.4

0.6

0.5

0.5

0.6

Texas

1.9

1.1

2.0

2.3

1.8

1.3

2.3

1.3

0.2

0.5

0.5

0.2

0.3

Utah

0.7

0.9

0.2

1.0

0.3

0.6

0.1

0.2

---

0.3

0.2

0.4

0.2

Vermont

2.4

4.4

0.7

1.0

1.2

0.8

1.1

2.4

2.1

1.3

2.7

3.7

1.4

Virginia

0.3

0.3

0.4

0.2

0.2

0

0

0.2

0.2

0.2

0.2

0.1

0.1

Washington

4.3

1.2

0.7

0.5

0.4

0.7

0.5

0.4

0.3

0.4

0.3

0.4

0.3

West Virginia

2.4

0.5

1.0

0.5

1.2

1.3

1.4

0.2

1.1

1.3

1.0

1.3

1.0

Wisconsin

---

---

0.5

2.8

0.3

---

---

0.1

0.1

---

---

0

0

Wyoming

46.6

37.3

17.3

21.2

18.3

0.4

1.6

1.0

---

0.4

---

---

---

* Per 100,000 population.

No cases were reported.


TABLE 10. Number and percentage* of patients with acute hepatitis C who reported selected epidemiologic characteristics, by age group --- United States, 2007

Characteristic

Age group (yrs)

<40§

≥40

Total

No.

(%)

No.

(%)

No.

(%)

Cases reported with risk factor data

Injection-drug use

130/217

(59.9)

38/135

(28.1)

168/352

(47.7)

Sexual contact with hepatitis C patient

8/51

(15.7)

1/39

(2.6)

9/90

(10.0)

Household contact of hepatitis C patient

2/51

(3.9)

3/39

(7.7)

5/90

(5.6)

Homosexual activity (male)

5/33

(15.2)

1/25

(4.0)

6/58

(10.3)

Medical employee with blood contact

2/215

(0.9)

6/143

(4.2)

8/358

(2.2)

Hemodialysis

0/200

(0)

2/136

(1.5)

2/336

(0.6)

>1 sex partner

67/140

(47.9)

30/91

(33.0)

97/231

(42.0)

Blood transfusion

0/204

(0)

0/135

(0)

0/339

(0)

Surgery

23/181

(12.7)

39/123

(31.7)

62/304

(20.4)

Percutaneous injury (e.g., needlestick)

15/164

(9.1)

6/111

(5.4)

21/275

(7.6)

Unknown

71/243

(29.2)

71/163

(43.6)

142/406

(35.0)

Cases with no reported risk factor data available

221

217

438

Total cases reported

464

380

844

* The percentage of cases for which a specific risk factor was reported was calculated on the basis of the total number of cases for which any information for that exposure was reported. Percentages might not total 100% because multiple risk factors might have been reported for a single case.

Exposures that occurred during the 6 weeks--6 months before onset of illness.

§ A total of 34 (4%) patients were aged <19 years.

Among males, 19% reported homosexual behavior.


TABLE 11. Clinical characteristics of patients with acute hepatitis C, by age group --- United States, 2007*

Age group (yrs)

Characteristic

<5

5--14

15--39

40--59

≥60

Total

No.

(%)

No.

(%)

No.

(%)

No.

(%)

No.

(%)

No.

(%)

Died from hepatitis

0/1

(0)

0/0

(0)

0/248

(0)

0/146

(0)

2/25

(8.0)

2/420

(0.5)

Hospitalized for hepatitis

1/1

(100.0)

0/0

(0)

136/291

(46.7)

89/175

(50.9)

16/27

(59.3)

242/494

(49.0)

Had jaundice

1/1

(100.0)

0/0

(0)

202/287

(70.4)

118/165

(71.5)

19/25

(76.0)

340/478

(71.1)

* A total of 849 persons with acute hepatitis C were reported. Percentages were calculated on the basis of the number of case reports with data for age group and the outcome of interest (i.e., jaundice, hospitalization, or death).

FIGURE 1. Incidence* of acute hepatitis A, by year --- United States, 1982--2007

Incidence* of acute hepatitis A, by year --- United States, 1982--2007

* Per 100,000 population.

FIGURE 2. Incidence* of acute hepatitis A, by region and year --- United States, 1990--2007

Incidence* of acute hepatitis A, by region† and year --- United States, 1990--2007

* Per 100,000 population.

Midwest: Illinois, Indiana, Iowa, Kansas, Michigan, Minnesota, Missouri, Nebraska, North Dakota, Ohio, South Dakota, and Wisconsin; Northeast: Connecticut, Maine, Massachusetts, New Hampshire, New Jersey, New York, Pennsylvania, Rhode Island, and Vermont; South: Alabama, Arkansas, Delaware, District of Columbia, Florida, Georgia, Kentucky, Louisiana, Maryland, Mississippi, North Carolina, Oklahoma, South Carolina, Tennessee, Texas, Virginia, and West Virginia; and West: Alaska, Arizona, California, Colorado, Hawaii, Idaho, Montana, Nevada, New Mexico, Oregon, Utah, Washington, and Wyoming.

FIGURE 3. Incidence* of acute hepatitis A, by county --- United States, 2007

Incidence* of acute hepatitis A, by county --- United States, 2007

SOURCE: National Notifiable Diseases Surveillance System, 2007.

* Per 100,000 population.

FIGURE 4. Incidence* of acute hepatitis A, by age group and year --- United States, 1990--2007

Incidence* of acute hepatitis A, by age group and year --- United States, 1990--2007

* Per 100,000 population.

FIGURE 5. Incidence* of acute hepatitis A, by sex and year --- United States, 1990--2007

Incidence* of acute hepatitis A, by sex and year --- United States, 1990--2007

* Per 100,000 population.

The bars indicate the rate per 100,000 (left y-axis) by sex; the line is the ratio (right y-axis) of the incidence rate among males compared with that among females.

FIGURE 6. Incidence* of acute hepatitis A, by age group and sex --- United States, 2007

Incidence* of acute hepatitis A, by age group and sex --- United States, 2007†

* Per 100,000 population.

A total of 2,979 cases of acute hepatitis A were reported. Rates exclude patients for whom data on age group or sex were missing.

FIGURE 7. Incidence* of acute hepatitis A, by race/ethnicity and year --- United States, 1990--2007

Incidence* of acute hepatitis A, by race/ethnicity and year --- United States, 1990--2007

* Per 100,000 population.

FIGURE 8. Trends in selected epidemiologic characteristics among patients with acute hepatitis A, by year --- United States, 2001--2007*

Trends in selected epidemiologic characteristics among patients with acute hepatitis A, by year --- United States, 2001--2007*

* The percentage of cases among persons in which a specific risk factor was reported was calculated based on the total number of persons for whom any information for that exposure was reported. Multiple risk factors may be reported for a single case.

FIGURE 9. Incidence* of acute hepatitis B, by year --- United States, 1982--2007

Incidence* of acute hepatitis B, by year --- United States, 1982--2007

* Per 100,000 population.

FIGURE 10. Incidence* of acute hepatitis B, by region and year --- United States, 1990--2007

Incidence* of acute hepatitis B, by region† and year --- United States, 1990--2007

* Per 100,000 population.

Midwest: Illinois, Indiana, Iowa, Kansas, Michigan, Minnesota, Missouri, Nebraska, North Dakota, Ohio, South Dakota, and Wisconsin; Northeast: Connecticut, Maine, Massachusetts, New Hampshire, New Jersey, New York, Pennsylvania, Rhode Island, and Vermont; South: Alabama, Arkansas, Delaware, District of Columbia, Florida, Georgia, Kentucky, Louisiana, Maryland, Mississippi, North Carolina, Oklahoma, South Carolina, Tennessee, Texas, Virginia, and West Virginia; and West: Alaska, Arizona, California, Colorado, Hawaii, Idaho, Montana, Nevada, New Mexico, Oregon, Utah, Washington, and Wyoming.

FIGURE 11. Incidence* of acute hepatitis B, by county --- United States, 2007

Incidence* of acute hepatitis B, by county --- United States, 2007

SOURCE: National Notifiable Diseases Surveillance System, 2007.

* Per 100,000 population.

FIGURE 12. Incidence* of acute hepatitis B, by age group and year --- United States, 1990--2007

Incidence* of acute hepatitis B, by age group and year --- United States, 1990--2007

* Per 100,000 population.

FIGURE 13. Incidence* of acute hepatitis B, by sex and year --- United States, 1990--2007

Incidence* of acute hepatitis B, by sex and year --- United States, 1990--2007

* Per 100,000 population.

The bars indicate the rate per 100,000 (left y-axis) by sex; the line is the ratio (right y-axis) of the incidence rate among males compared with that among females.

FIGURE 14. Incidence* of acute hepatitis B, by age group and sex --- United States, 2007

Incidence* of acute hepatitis B, by age group and sex --- United States, 2007†

* Per 100,000 population.

A total of 4,519 cases of acute hepatitis B were reported. Rates exclude patients for whom data on age group or sex were missing.

FIGURE 15. Incidence* of acute hepatitis B, by race/ethnicity and year --- United States, 1990--2007

Incidence* of acute hepatitis B, by race/ethnicity and year --- United States, 1990--2007

* Per 100,000 population.

FIGURE 16. Trends in selected epidemiologic characteristics among patients with acute hepatitis B, by year --- United States, 2001--2007*

Trends in selected epidemiologic characteristics among patients with acute hepatitis B, by year --- United States, 2001--2007*

* The percentage of cases among persons in which a specific risk factor was reported was calculated based on the total number of persons for whom any information for that exposure was reported. Multiple risk factors may be reported for a single case.

FIGURE 17. Incidence* of acute hepatitis C, by year --- United States, 1992--2007

Incidence* of acute hepatitis C, by year --- United States, 1992--2007†

* Per 100,000 population.

Until 1995, acute hepatitis C was reported as acute hepatitis non-A, non-B.

FIGURE 18. Incidence* of acute hepatitis C, by age group and year --- United States, 1992--2007

Incidence* of acute hepatitis C, by age group and year --- United States, 1992--2007†

* Per 100,000 population.

Until 1995, acute hepatitis C was reported as acute hepatitis non-A, non-B.

FIGURE 19. Incidence* of acute hepatitis C, by sex and year --- United States, 1992--2007

Incidence* of acute hepatitis C, by sex and year --- United States, 1992--2007†

* Per 100,000 population.

Until 1995, acute hepatitis C was reported as acute hepatitis non-A, non-B.

§ The bars indicate the rate per 100,000 (left y-axis) by sex; the line is the ratio (right y-axis) of the incidence rate among males compared with that among females.

FIGURE 20. Incidence* of acute hepatitis C, by age group and sex --- United States, 2007

Incidence* of acute hepatitis C, by age group and sex --- United States, 2007†

* Per 100,000 population.

A total of 849 cases of acute hepatitis C were reported. Rates exclude patients for whom data on age group or sex were missing.

FIGURE 21. Incidence* of acute hepatitis C, by race/ethnicity and year --- United States, 1992--2007

Incidence* of acute hepatitis C, by race/ethnicity and year --- United States, 1992--2007†

* Per 100,000 population.

Until 1995, acute hepatitis C was reported as acute hepatitis non-A, non-B.

FIGURE 22. Trends in selected epidemiologic characteristics among patients with acute hepatitis C, by year --- United States, 2001--2007*

Trends in selected epidemiologic characteristics among patients with acute hepatitis C, by year --- United States, 2001--2007*

* The percentage of cases among persons in which a specific risk factor was reported was calculated based on the total number of persons for whom any information for that exposure was reported. Multiple risk factors may be reported for a single case.

Use of trade names and commercial sources is for identification only and does not imply endorsement by the U.S. Department of Health and Human Services.


References to non-CDC sites on the Internet are provided as a service to MMWR readers and do not constitute or imply endorsement of these organizations or their programs by CDC or the U.S. Department of Health and Human Services. CDC is not responsible for the content of pages found at these sites. URL addresses listed in MMWR were current as of the date of publication.

All MMWR HTML versions of articles are electronic conversions from typeset documents. This conversion might result in character translation or format errors in the HTML version. Users are referred to the electronic PDF version (http://www.cdc.gov/mmwr) and/or the original MMWR paper copy for printable versions of official text, figures, and tables. An original paper copy of this issue can be obtained from the Superintendent of Documents, U.S. Government Printing Office (GPO), Washington, DC 20402-9371; telephone: (202) 512-1800. Contact GPO for current prices.

**Questions or messages regarding errors in formatting should be addressed to mmwrq@cdc.gov.

Date last reviewed: 5/13/2009

HOME  |  ABOUT MMWR  |  MMWR SEARCH  |  DOWNLOADS  |  RSSCONTACT
POLICY  |  DISCLAIMER  |  ACCESSIBILITY

Safer, Healthier People

Morbidity and Mortality Weekly Report
Centers for Disease Control and Prevention
1600 Clifton Rd, MailStop E-90, Atlanta, GA 30333, U.S.A

USA.GovDHHS

Department of Health
and Human Services