Skip Navigation LinksSkip Navigation Links
Centers for Disease Control and Prevention
Safer Healthier People
Blue White
Blue White
bottom curve
CDC Home Search Health Topics A-Z spacer spacer
spacer
Blue curve MMWR spacer
spacer
spacer

Persons using assistive technology might not be able to fully access information in this file. For assistance, please send e-mail to: mmwrq@cdc.gov. Type 508 Accommodation and the title of the report in the subject line of e-mail.

Update: Investigation of Bioterrorism-Related Anthrax and Interim Guidelines for Exposure Management and Antimicrobial Therapy, October 2001

Please note: An erratum has been published for this article. To view the erratum, please click here.

Since October 3, 2001, CDC and state and local public health authorities have been investigating cases of bioterrorism-related anthrax. This report updates previous findings, provides new information on case investigations in two additional areas, presents the susceptibility patterns of Bacillus anthracis isolates, and provides interim recommendations for managing potential threats and exposures and for treating anthrax.

As of October 24, investigations in the District of Columbia (DC), Florida, New Jersey, New York City (NYC), Maryland, Pennsylvania, and Virginia have identified 15 (11 confirmed and four suspected) cases of anthrax according to the CDC surveillance case definition (1). Seven of the 15 cases were inhalational anthrax and eight were cutaneous. Of the seven inhalational cases, five occurred in postal workers in New Jersey and DC, and one in a person who sorted and distributed mail at a media company in Florida. Two letters mailed to two different recipients in NYC and one letter mailed to a recipient in DC are known to have contained B. anthracis spores. Six cases were identified in employees of media companies; one was a 7-month-old infant who visited a media company; and eight cases are consistent with exposures along the postal route of letters known to be contaminated with B. anthracis spores in New Jersey and DC. Using molecular typing, analysis of B. anthracis isolates from cases in Florida, NYC, and DC indicated that the isolates are indistinguishable (2). Epidemiologic investigations and surveillance in other locations are continuing; no additional cases have been identified.

Florida

As of October 24, investigations in Florida have identified two confirmed cases of inhalational anthrax in persons who worked at the same media company; no additional cases of disease have been identified since the last report (1). A pleural biopsy for the second confirmed patient was positive for B. anthracis by immunohistochemical (IHC) staining. In addition, a >4-fold increase in levels of serum antibody (IgG) to the protective antigen (PA) component of the anthrax toxin using enzyme-linked immunosorbant assay (ELISA) was demonstrated.

Environmental sampling of the work site revealed B. anthracis contamination and implicated one or more mailed letters or packages as the likely source of exposure. Several environmental specimens from regional and local postal centers that provided mail services to the work site were culture-positive for B. anthracis. Thirty postal workers had no evidence of B. anthracis exposure by nasal swab testing. No cases of disease have been identified among postal workers. On the basis of the positive environmental swabs, focused clean-up procedures continue at regional and local postal centers. The Environmental Protection Agency (EPA), in consultation with health officials, is conducting decontamination of the work site.

Approximately 1,100 persons were started on antimicrobial prophylaxis for suspected B. anthracis exposure; 555 worked either full- or part-time in the affected building. The majority of other persons reported spending at least 1 hour in the affected building since August 1. Additional follow-up for compliance with prophylaxis recommendations and monitoring adverse events associated with long-term antimicrobial prophylaxis is ongoing.

New York

Investigations in NYC have identified five (three confirmed and two suspected) cutaneous anthrax cases; three cases (one confirmed and two suspected) have been identified since the last report (1). These five cases were associated with four media companies (A--D). The two previously reported cases were related to work sites A and B, and the three additional cases were related to work sites C, D, and A, respectively. No cases among postal workers have been identified.

On October 1, a 27-year-old woman who regularly handled mail at work site C sought medical care at a local hospital for two lesions on the left cheek, which developed surrounding erythema and edema and local adenopathy. A biopsy obtained on October 16 was positive by IHC staining for the cell wall antigen of B. anthracis and serologic testing was weakly reactive. No suspicious letter was identified from her work site.

Two suspected cases of cutaneous anthrax also have been detected. The first suspected case, a 29-year-old woman with onset of illness on September 22, frequently handled mail at work site D. At her work site, an unopened letter postmarked September 18, which contained powder contaminated with B. anthracis was found on October 19. The second suspected case, a 23-year-old woman with onset of illness on September 28, handled a suspicious letter postmarked September 18 from work site A. All three patients were treated with ciprofloxacin and have shown clinical improvement. A total of three persons were confirmed by nasal swabs to have been exposed to B. anthracis, presumably acquired during handling and processing of specimens during the investigation of the first confirmed case (1).

In work site A, potentially exposed persons were identified and prescribed antimicrobial prophylaxis. An environmental investigation of work site A was conducted subsequently; environmental samples taken from work site A were culture-positive for B. anthracis. Of 1,360 persons who were tested by nasal swabs from work site A, all were confirmed negative. Nasal swabs were obtained from 1,202 persons from work sites B, C, and D; 1,183 tested negative and 19 are pending final results. Environmental samples taken from work site A were positive. Testing of environmental specimens from work sites B, C, and D is ongoing.

Prophylaxis was recommended for potentially exposed persons at work site A. Antimicrobial prophylaxis was initiated for nine persons who had recent contact with the sealed letter containing B. anthracis in work site D.

New Jersey

To date, investigations in New Jersey and Pennsylvania have identified four (two confirmed and two suspected) anthrax cases. Cutaneous disease has been diagnosed in three patients and one has illness suspected to be inhalational anthrax, but laboratory tests to confirm the diagnosis are pending. All four of these patients worked at one of two postal facilities in New Jersey. Although no specific contaminated letter was identified, contaminated letters destined for both NYC and DC passed through at least one of these postal facilities in New Jersey.

On October 1, a 45-year-old female mail carrier sought medical care at a local hospital for a 4-day history of worsening skin lesions on her right forearm. A biopsy was obtained and arrived at CDC on October 17 and later that night was found positive by IHC. In addition, tissue was positive for B. anthracis by polymerase chain reaction (PCR), and serologic testing was reactive. The patient's condition improved on antimicrobial therapy.

On October 16, a 35-year-old male mail processor, with a history of a chronic, bullous-like skin condition, was taken to a local hospital complaining of a 2-day history of a large pustular lesion on his neck. He returned 1 day later with increasing ulceration of the skin lesion associated with fatigue, chills, and a swollen throat; he was afebile but had vesicles and bullae around the pustular lesion. Biopsy was positive by IHC, and serologic testing was reactive to B. anthracis. The patient's lesions responded to antimicrobial therapy.

Two suspected cases also have been detected. The first case occurred in a 39-year-old male machine mechanic who was taken to a local hospital on September 26 for two bullous, vesicular lesions with surrounding erythema, edema, and induration on the right forearm, which progressed to black eschars. The patient was treated for cellulitis with ceftriaxone followed by amoxicillin/clavulanate. The patient was reported to CDC on October 17 and serologic testing at CDC was reactive to B. anthracis. No biopsy was obtained. The patient's condition improved.

On October 14, the second suspected case occurred in a 56-year-old female postal worker who sought medical care for fever, diarrhea, and vomiting at a local hospital. On October 19, the patient was admitted to the hospital with chills, dry cough, and pleuritic chest pain. A chest radiograph showed a small right infiltrate and bilateral effusions, but no evidence of a widened mediastinum. The next day, her respiratory status and pleural effusions worsened. A chest computerized tomography (CT) showed an enlarged mediastinal and cervical lymph nodes without parenchymal disease. The pleural fluid was positive for B. anthracis by PCR. Bilateral pleural effusions have complicated the patient's hospital course and she continues to require supplemental oxygen.

On October 20, the postal facility was closed; the New Jersey Department of Health and Senior Services recommended that postal workers at both postal facilities initiate antimicrobial prophylaxis pending further epidemiologic and environmental investigation. Both facilities have been closed pending results of further environmental evaluation. Environmental sampling is being conducted at both postal facilities. In one facility, 13 of 23 samples from high-risk areas were preliminarily culture-positive for B. anthracis. Clean-up efforts are ongoing. Results of cultures from samples taken in the second facility and results from approximately 600 nasal swab cultures obtained from postal employees are pending.

District of Columbia

To date, investigations in DC, Maryland, and Virginia have identified four confirmed anthrax cases. All patients had inhalational illness and all worked at a single postal facility in DC.

On October 15, a staff member in the office of a U.S. Senator noted a small burst of dust released while opening a tightly sealed letter. The U.S. Capitol Police and Federal Bureau of Investigation (FBI) were notified and the area was vacated and secured immediately; ventilation systems for the Senator's offices were deactivated within 45 minutes of recognizing the threat. The letter and surrounding carpet were removed and sent for testing. On October 16, the letter tested positive for B. anthracis by PCR, and an epidemiologic investigation was initiated by the health officials from the Office of Attending Physician, U.S. Capitol; DC Department of Health (DCDOH); Infectious Disease Service, National Naval Medical Center; and CDC.

Based on the initial investigation, the area of exposure was determined to consist of two floors in the southeast quadrant of the building where the U.S. Senator's office is located. Approximately 340 staff and visitors potentially were exposed. Beginning October 15, nasal swab testing was performed on these persons and approximately 5,000 additional persons who referred themselves for testing. Twenty-eight persons had evidence of exposure by nasal swab testing; 13 were in the immediate office space where the letter was opened, nine were in adjacent areas, and six were first responders. Antimicrobial prophylaxis was administered to persons from the area of exposure and first-responders to the incident. Environmental specimens were collected at the affected building and other buildings in the U.S. Capitol complex. To date, environmental specimens are positive from the area of exposure as well as two mail rooms in the U.S. Capitol complex; one of the mail rooms did not process the contaminated letter. None of the mail room personnel and none of the postal workers at the post office serving the mail rooms had positive nasal swabs. These mail handlers were all offered prophylactic antibiotics. Initially, a single positive environmental sample for the post office serving these mail rooms was positive. Subsequent samples from this post office and the mail distribution center serving this post office were positive.

On October 19, enhanced regional surveillance activities (a collaborative effort between DCDOH, Maryland Department of Health and Mental Hygiene, and the Virginia Department of Health) identified a case of pulmonary illness in a postal worker. The postal worker, a 56-year-old man, sought medical care at a Virginia hospital for fever, chills, chest heaviness, malaise, and minimally productive cough of 3 days' duration. Initial evaluation in the emergency department (ED) revealed a widened mediastinum on a chest radiograph; a subsequent CT scan revealed mediastinal lymphadenopathy and small, bilateral pleural effusions. The patient was hospitalized for suspected inhalational anthrax and was treated with broad spectrum antimicrobial agents, including ciprofloxacin. Blood cultures grew gram-positive rods within 15 hours of collection, later confirmed to be B. anthracis at the Virginia State Health Laboratory and CDC on October 21. The patient is clinically stable and remains hospitalized.

On October 20, a second postal worker, also a 56-year-old man, who worked at the same distribution center, was admitted to the hospital with a 3-day history of progressively worsening headache and night sweats. He had no fever, stiff neck, or other symptoms or signs consistent with meningitis. He had a mild sore throat and occasional dry cough. Because the patient was linked epidemiologically to the index case of inhalational anthrax, a chest radiograph and chest CT scan were performed that revealed mediastinal lymphadenopathy and a right middle lobe infiltrate. Antimicrobial therapy was initiated. Blood cultures grew B. anthracis within 18 hours. The patient is clinically stable and remains hospitalized.

On October 21, a third postal worker, a 55-year-old man, who worked at the same distribution center was admitted to the hospital with suspected inhalational anthrax. The patient had initially sought medical care at a physician's office on October 18 for 2 days of progressive fatigue, myalgias, and fever. The patient had a temperature of 102 F (38.9 C) and normal white blood cell count and was sent home. The patient returned to the ED on October 21 with persistent symptoms, including chills, vague chest tightness, and temperature of 102 F (38.9 C). Chest radiograph revealed right middle and lower lobe alveolar infiltrates and right hilar and peritracheal soft tissue fullness. Evaluation revealed hypoxia, leukocytosis, and hemoconcentration. Antimicrobial therapy was initiated, and the patient was mechanically ventilated. The patient's condition deteriorated, and he died on October 21. Blood cultures obtained on admission to the hospital grew gram-positive bacilli, which were confirmed later as B. anthracis at CDC.

On October 22, a fourth postal worker, a 47-year-old man, who worked at the same distribution center was admitted to the hospital with suspected inhalational anthrax. The patient had initially presented to the ED on October 21 with complaints of 5 days of progressive fatigue, nausea, vomiting, and diarrhea, and syncope. The patient was afebrile and had orthostatic hypotension. A chest radiograph was obtained and reported to be normal. The patient received intravenous fluids and was discharged. He returned to the ED 26 hours later following another syncopal episode and persistent gastrointestinal complaints. The patient was afebrile, hypotensive, diaphoretic, and in respiratory distress. A second chest radiograph and a chest CT revealed mediastinal lymphadenopathy and bilateral pleural effusions. Subsequent review of the first chest radiograph revealed an ill-defined area of increased density in the right subhilar region. Laboratory evaluation revealed leukocytosis and hemoconcentration. Antimicrobial therapy was initiated, and the patient was mechanically ventilated. Peripheral blood smear demonstrated gram-positive bacilli; blood cultures grew gram-positive bacilli within 18 hours and were confirmed as B. anthracis at CDC. The patient died on October 22.

On October 20, CDC and DCDOH initiated an investigation of the postal facility where the four patients were employed. Although no specific exposure event was identified, the contaminated tightly sealed letter that was mailed to the Senator's office was processed at this facility on October 12 before entering the Capitol mail distribution system. The postal facility was closed on October 21, and antimicrobial prophylaxis was recommended to employees working in proximity to the same mail sorting area of the first patient. In addition, visitors to nonpublic operations areas of this facility also were offered antimicrobial prophylaxis.

On October 22, because of concern about the potential for unrecognized aerosol exposures among postal workers, antimicrobial therapy was recommended for all workers and visitors to nonpublic areas in this postal facility. Subsequently, this recommendation has been extended to all postal workers in the DC area directly served by this postal facility pending results of ongoing epidemiologic and environmental investigation.

The first patient also worked at a second postal facility. On October 21, this facility also was closed. Antimicrobial prophylaxis also was recommended for workers at this facility pending further epidemiologic and environmental testing.

Susceptibility Testing of B. anthracis Isolates

Antimicrobial susceptibility patterns were determined for 11 B. anthracis isolates associated with intentional exposures in Florida, NYC, and DC. Susceptibility breakpoints for interpreting minimum inhibitory concentration (MIC) results for B. anthracis have not been determined by the National Committee for Clinical Laboratory Standards (NCCLS); thus, breakpoints for staphylococci were used (3). All B. anthracis isolates were susceptible to ciprofloxacin (MIC<0.06 µg/mL), doxycycline (MIC<0.03 µg/mL), chloramphenicol (MIC=4 µg/mL), clindamycin (MIC<0.5 µg/mL), tetracycline (MIC=0.06 µg/mL), rifampin (MIC<0.5 µg/mL), and vancomycin (MIC=1--2 µg/mL). Limited testing of imipenem suggests that these organisms are also susceptible to this agent (MIC<0.12 µg/mL) and are likely susceptible to meropenem. Susceptibility of the isolates was considered intermediate to erythromycin (MIC=1 µg/mL) and borderline susceptible to azithromycin (MIC=2 µg/mL); clarithromycin was considered susceptible (MIC=0.25 µg/mL).

B. anthracis isolates were susceptible to penicillin (MIC range: <0.06 ug/mL--0.12 µg/mL) and amoxicillin (MIC<0.06 µg/mL); ceftriaxone (MIC=16) was considered intermediate. NCCLS has not defined either a B. anthracis or staphylococcal interpretive breakpoint for ceftriaxone results; thus, breakpoints for gram-negative organisms were used to interpret ceftriaxone results. These ceftriaxone MICs and additional laboratory data at CDC indicate the presence in B. anthracis isolates of a cephalosporinase, an enzyme that inhibits the antibacterial activity of cephalosporins such as ceftriaxone. Additional studies were performed with some of the B. anthracis isolates to identify other beta-lactamases, the general class of enzymes that inactivate penicillins, cephalosporins, and related drugs. These preliminary studies indicate the presence of a class B cephalosporinase and suggest that a penicillinase also may be present. These enzymes often are present in naturally occurring B. anthracis isolates.

This information is current as of October 24, 2001, 9 p.m. eastern daylight time. Intensive surveillance activities and environmental and case investigations are in progress to identify and treat all U.S. Postal Service workers and others at potential risk for anthrax. Surveillance also is being conducted to monitor adverse events associated with antimicrobial prophylaxis for anthrax. CDC and FBI are collaborating to accelerate all aspects of the investigation surrounding these events.

Reported by: J Malecki, MD, Palm Beach County Health Dept, Palm Beach; S Wiersma, MD, State Epidemiologist, Florida Dept of Health. K Cahill, MD; M Grossman, MD, Columbia Presbyterian Medical Center, New York City; H Hochman, MD, Lenox Hill Hospital, New York City; A Gurtman, MD, Mount Sinai School of Medicine, New York City; Communicable Disease Program, New York City Dept of Health. E Bresnitz, MD, State Epidemiologist, G DiFerdinando, MD, New Jersey Dept of Health and Senior Svcs. P Lurie, MD, K Nalluswami, MD, Pennsylvania Dept of Health. L Siegel, MD, S Adams, I Walks, MD, J Davies-Coles, PhD, District of Columbia Dept of Health. R Brechner, State Epidemiologist, Maryland Dept of Health and Mental Hygiene. E Peterson, MD, Virginia Dept of Health. D Frank, MD, Greater SE Hospital, District of Columbia. S Bresoff-Matcha, MD, Mid-Atlantic Permanente Medical Group and Inova Fairfax Hospital, Falls Church, Virginia. C Chiriboga, MD, Southern MD Hosp, Clinton, Maryland. J Eisold, MD, G Martin, MD, Office of the Attending Physician, US Capitol. EIS officers, CDC.

Editorial Note:

Bioterrorism attacks using B. anthracis spores sent through the mail have resulted in 15 anthrax cases and three deaths. The initial anthrax cases occurred among persons with known or suspected contact with opened letters contaminated with B. anthracis spores. Later, investigations identified four confirmed cases and one suspected case among postal workers who had no known contact with contaminated opened letters. This suggests that sealed envelopes contaminated with B. anthracis passing through the postal system may be the source of exposure. The number of contaminated envelopes passing through the postal system is not known. In addition, automated sorting could damage envelopes and release spores into postal environments; other circumstances that could contribute to the contamination of postal facility environments may be identified.

Because these cases are the result of intentional exposures, FBI and other law enforcement authorities are investigating these events as criminal acts and are working to identify and eliminate the source of these exposures. Until that occurs, the possibility of further exposure to B. anthracis and subsequent clinical illness exists. Clinicians and laboratorians should be vigilant for symptoms or laboratory findings that indicate B. anthracis infection, particularly among mail handlers. Information to guide health-care providers and laboratorians is available at <http://www.bt.cdc.gov>.

Managing Threats

Letters containing B. anthracis spores have been sent to persons in NYC and DC. Prompt identification of a threat and institution of appropriate measures may prevent inhalational anthrax. To prevent exposure to B. anthracis and subsequent infection, suspicious letters or packages should be recognized and appropriate protective steps taken.

Characteristics of suspicious packages and letters include inappropriate or unusual labeling, strange return address or no return address, postmarks from a city or state different from the return address, excessive packaging material, and others. If a package appears suspicious, it should not be opened. The package should be handled as little as possible. The room should be vacated and secured promptly and appropriate security or law enforcement agencies promptly notified (Box 1).

Managing Exposures

Identification of a patient with anthrax or a confirmed exposure to B. anthracis should prompt an epidemiologic investigation. The highest priority is to identify at-risk persons and initiate appropriate interventions to protect them. The exposure circumstances are the most important factors that direct decisions about prophylaxis. Persons with an exposure or contact with an item or environment known, or suspected to be contaminated with B. anthracis---regardless of laboratory tests results---should be offered antimicrobial prophylaxis. Exposure or contact, not laboratory test results, is the basis for initiating such treatment. Culture of nasal swabs is used to detect anthrax spores. Nasal swabs can occasionally document exposure, but cannot rule out exposure to B. anthracis. As an adjunct to epidemiologic evaluations, nasal swabs may provide clues to help assess the exposure circumstances. In addition, rapid evaluation of contaminated powder, including particle size and characteristics, may prove useful in assessing the risk for inhalational anthrax.

CDC is working with U.S. Postal Service employees and managers on several strategies to address the risk for anthrax among workers involved in mail handling. These strategies include personal protective equipment for workers handling mail and engineering controls in mail facilities. Clinicians and laboratorians should be vigilant for symptoms or laboratory findings that indicate possible anthrax infection, particularly among workers involved in mail sorting and distribution. Information to guide health-care providers and laboratories is available at <http://www.bt.cdc.gov> (1).

Antimicrobial Treatment

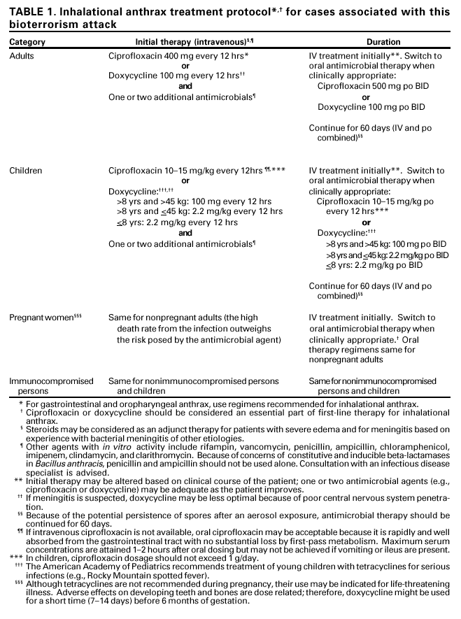
A high index of clinical suspicion and rapid administration of effective antimicrobial therapy is essential for prompt diagnosis and effective treatment of anthrax. Limited clinical experience is available and no controlled trials in humans have been performed to validate current treatment recommendations for inhalational anthrax. Based on studies in nonhuman primates and other animal and in vitro data, ciprofloxacin or doxycycline should be used for initial intravenous therapy until antimicrobial susceptibility results are known (Table 1). Because of the mortality associated with inhalational anthrax, two or more antimicrobial agents predicted to be effective are recommended; however, controlled studies to support a multiple drug approach are not available. Other agents with in vitro activity suggested for use in conjunction with ciprofloxacin or doxycycline include rifampin, vancomycin, imipenem, chloramphenicol, penicillin and ampicillin, clindamycin, and clarithromycin; but other than for penicillin, limited or no data exist regarding the use of these agents in the treatment of inhalational B. anthracis infection. Cephalosorins and trimethoprim-sulfamethoxazole should not be used for therapy. Regimens being used to treat patients described in this report include ciprofloxacin, rifampin, and vancomycin; and ciprofloxacin, rifampin, and clindamycin.

Penicillin is labelled for use to treat inhalational anthrax. However, preliminary data indicate the presence of constitutive and inducible beta-lactamases in the B. anthracis isolates from Florida, NYC, and DC. Thus, treatment of systemic B. anthracis infection using a penicillin alone (i.e., penicillin G and ampicillin) is not recommended. The B. anthracis genome sequence shows that this organism encodes two beta-lactamases: a penicillinase and a cephalosporinase. Data in the literature also show that some beta-lactamase negative B. anthracis strains for which the penicillin MICs are 0.06 µg/mL increase to 64 µg/mL and become beta-lactamase positive when exposed to semisynthetic penicillins (4). The frequency of this induction event is unknown. Although amoxicillin/clavulanic acid is more active than amoxicillin alone against beta-lactamase, producing strains in vitro, the combination may not be clinically effective for inhalational anthrax where large numbers of organisms are likely to be present.

Toxin-mediated morbidity is a major complication of systemic anthrax. Corticosteroids have been suggested as adjunct therapy for inhalational anthrax associated with extensive edema, respiratory compromise, and meningitis (5).

For cutaneous anthrax, ciprofloxacin and doxycycline also are first-line therapy (Table 2). As for inhalational disease, intravenous therapy with a multidrug regimen is recommended for cutaneous anthrax with signs of systemic involvement, for extensive edema, or for lesions on the head and neck (Table 2). In cutaneous anthrax, antimicrobial treatment may render lesions culture negative in 24 hours, although progression to eschar formation still occurs (5). Some experts recommend that corticosteroids be considered for extensive edema or swelling of the head and neck region associated with cutaneous anthrax. Cutaneous anthrax is typically treated for 7--10 days; however, in this bioterrorism attack, the risk for simultaneous aerosol exposure appears to be high. Although infection may produce an effective immune response, a potential for reactivation of latent infection may exist. Therefore, persons with cutaneous anthrax associated with this attack should be treated for 60 days.

Prophylaxis for inhalational anthrax exposure has been addressed in a previous report (1) and indicates the use of either ciprofloxacin or doxycycline as first line agents. High-dose penicillin (e.g., amoxicillin or penicillin VK) may be an option for antimicrobial prophylaxis when ciprofloxacin or doxycycline are contraindicated. The likelihood of beta-lactamase induction events that would increase the penicillin MIC is lower when only small numbers of vegetative cells are present, such as during antimicrobial prophylaxis.

All medications may have undesirable side effects and allergic reactions may result from any medication. Clinicians prescribing these medications should be aware of their side effects and consult an infectious disease specialist as needed. Patients should be urged to inform their health-care provider of any adverse event.

This is the first bioterrorism-related anthrax attack in the United States, and the public health ramifications of this attack continue to evolve. Additional updates and recommendations will be published in MMWR.

References

  1. CDC. Update: investigation of anthrax associated with intentional exposure and interim public health guidelines, October 2001. MMWR 2001;50:889--97.
  2. Keim P, Price LB, Klevytska AM, et al. Multiple-locus variable-number tandem repeat analysis reveals genetic relationships with Bacillus anthracis. J Baceriol 2000;182:2928--36.
  3. National Committee for Clinical Laboratory Standards. Performance standards for antimicrobial susceptibility testing. Wayne, Pennsylvania: National Committee for Clinical Laboratory Standards, 2001; 11th informational supplement M100-S11.
  4. Lightfoot NF, Scott RJ, Turnbull PC. Antimicrobial susceptibility of Bacillus anthracis. Salisbury Med Bull 1990;68:95S--98S.
  5. Dixon TC, Meselson M, Guillemin J, Hanna PC. Anthrax. N Engl J Med 1999;341:815--26.
  6. Inglesby TV, Henderson DA, Bartlett JG, et al. Anthrax as a biological weapon: medical and public health management. JAMA 1999;281:1735--45.

Box 1

Box 1. Handling of Suspicious Packages or Envelopes

  • Do not shake or empty the contents of a suspicious package or envelope.
  • Do not carry the package or envelope, show it to others, or allow others to examine it.
  • Put the package or envelope on a stable surface; do not sniff, touch, taste, or look closely at it or any contents that may have spilled.
  • Alert others in the area about the suspicious package or envelope. Leave the area, close any doors, and take actions to prevent others from entering the area. If possible, shut off the ventilation system.
  • Wash hands with soap and water to prevent spreading potentially infectious material to face or skin. Seek additional instructions for exposed or potentially exposed persons.
  • If at work, notify a supervisor, a security officer, or a law enforcement official. If at home, contact the local law enforcement agency.
  • If possible, create a list of persons who were in the room or area when this suspicious letter or package was recognized and a list of persons who also may have handled this package or letter. Give the list to both the local public health authorities and law enforcement officials.


Return to top.
Table 1

Table 1
Return to top.
Table 2

Table 2
Return to top.

Use of trade names and commercial sources is for identification only and does not imply endorsement by the U.S. Department of Health and Human Services.

References to non-CDC sites on the Internet are provided as a service to MMWR readers and do not constitute or imply endorsement of these organizations or their programs by CDC or the U.S. Department of Health and Human Services. CDC is not responsible for the content of pages found at these sites.

Disclaimer   All MMWR HTML versions of articles are electronic conversions from ASCII text into HTML. This conversion may have resulted in character translation or format errors in the HTML version. Users should not rely on this HTML document, but are referred to the electronic PDF version and/or the original MMWR paper copy for the official text, figures, and tables. An original paper copy of this issue can be obtained from the Superintendent of Documents, U.S. Government Printing Office (GPO), Washington, DC 20402-9371; telephone: (202) 512-1800. Contact GPO for current prices.

**Questions or messages regarding errors in formatting should be addressed to mmwrq@cdc.gov.

Page converted: 10/26/2001

HOME  |  ABOUT MMWR  |  MMWR SEARCH  |  DOWNLOADS  |  RSSCONTACT
POLICY  |  DISCLAIMER  |  ACCESSIBILITY

Safer, Healthier People

Morbidity and Mortality Weekly Report
Centers for Disease Control and Prevention
1600 Clifton Rd, MailStop E-90, Atlanta, GA 30333, U.S.A

USA.GovDHHS

Department of Health
and Human Services

This page last reviewed 10/26/2001