Persons using assistive technology might not be able to fully access information in this file. For assistance, please send e-mail to: mmwrq@cdc.gov. Type 508 Accommodation and the title of the report in the subject line of e-mail.
Update: Novel Influenza A (H1N1) Virus Infections --- Worldwide, May 6, 2009
Since mid-April 2009, CDC, state and local health authorities in the United States, the World Health Organization (WHO), and health ministries in several countries have been responding to an outbreak of influenza caused by a novel influenza A (H1N1) virus (1). In March and early April 2009, Mexico experienced outbreaks of respiratory illness subsequently confirmed by CDC and Canada to be caused by the novel virus. The influenza strain identified in U.S. patients was genetically similar to viruses isolated from patients in Mexico (2). Since recognition of the novel influenza A (H1N1) virus in Mexico and the United States, as of May 6, a total of 21 additional countries had reported cases, with a total of 1,882 confirmed cases worldwide. Several WHO member states are conducting ongoing investigations of this worldwide outbreak, and WHO is monitoring and compiling surveillance data and case reports. On April 29, WHO raised the level of pandemic alert from phase 4 to phase 5, indicating that human-to-human spread of the virus had occurred in at least two countries in one WHO region. This report provides an update of the initial investigations and spread of novel influenza A (H1N1) virus worldwide.
Mexico
Since implementing enhanced surveillance on April 17, the number of suspected cases has increased rapidly, along with hospitalizations for severe acute respiratory illness (Figure 1). As of May 5, using an updated case definition of fever plus cough or sore throat for a suspected case and real-time reverse transcription--polymerase chain reaction (rRT-PCR) or viral culture for a laboratory-confirmed case, Mexico had identified 11,932 suspected cases and 949* cases of laboratory-confirmed novel influenza A (H1N1) virus infection, including 42 patients who died. Cases with laboratory-confirmed infection have been identified in 27 of 31 Mexican states and the Federal District. Confirmed cases in Mexico and in the United States have a similar age distribution (Table). Information is available on the clinical course of illness for 22 patients with laboratory-confirmed illness who were hospitalized, including seven patients who died. Five of the 15 surviving patients and one of the seven patients who died had underlying chronic medical conditions. Additional details on the clinical signs and symptoms of these and other patients are being collected. Among patients with confirmed cases for whom information was available, 56 (98%) of 57 reported fever, 49 (94%) of 52 reported cough, 23 (79%) of 29 reported dyspnea, 35 (80%) of 44 reported headache, and 34 of (83%) 41 reported rhinorrhea. The government of Mexico has instituted several measures to slow disease transmission and reduce mortality, including closure of all schools and avoidance of large public gatherings, distribution of oseltamivir to all health-care units, publication of specific clinical guidelines, and establishment of a call center to educate members of the public who are seeking health-care information.
United States
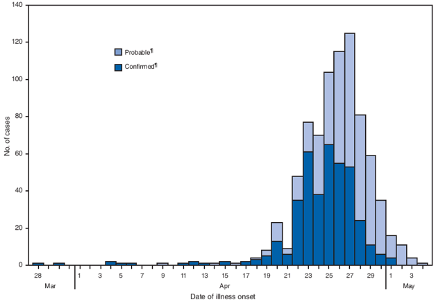
After recognition of the first cases of infection with the novel influenza A (H1N1) virus, CDC and state health departments initiated enhanced surveillance measures to identify additional cases. As of May 6, a total of 1,487 confirmed† and probable cases had been reported from 43 states, including 642 confirmed cases (reported from 41 states) and 845 probable cases (reported from 42 states). Current experience with laboratory testing results indicates that the probability of laboratory confirmation for probable cases is >99%. States with the most confirmed cases are Illinois (122 cases), New York (97), California (67), Texas (61), and Arizona (48). Dates of illness onset for patients with confirmed or probable illness range from March 28 to May 4 (Figure 2), although the most recent case counts do not account for testing and reporting delays. Among persons with laboratory-confirmed illness, 35 hospitalized patients have been reported from 16 states, including two patients from Texas who died, both with underlying medical conditions. The age distribution of persons with laboratory-confirmed disease ranged from 3 months to 81 years (Table). A total of 18 patients were aged <2 years, and 31 were aged 2--4 years.
The age distribution of the 35 laboratory-confirmed hospitalized patients ranged from 6 months to 53 years (median: 15 years). Among patients with confirmed disease for whom data were available, 262 (90%) of 292 reported fever, 249 (84%) of 296 reported cough, 176 (61%) of 290 reported sore throat, 65 (26%) of 249 reported diarrhea, and 54 (24%) of 221 reported vomiting.
Other Countries
On April 26, the first cases of novel influenza A (H1N1) virus infection outside of the United States and Mexico were reported in Canada. As of May 6, WHO had reported that 309 persons with laboratory-confirmed disease had been identified in 21 countries other than Mexico and the United States. Confirmed cases have been reported from Asia (Hong Kong S.A.R. and Korea), the Pacific region (New Zealand), the Middle East (Israel), Europe, and Central and South America (El Salvador, Costa Rica, Colombia, and Guatemala) (Figure 3).
Of 178 patients for whom travel history was available, 145 (82%) reported recent travel to Mexico, and four (2%) reported travel to the United States. Among those who had not traveled to Mexico, 17 (52%) reported contact with a returning traveler from Mexico. Canada, Germany, Spain, and the United Kingdom all have reported evidence of in-country, second-generation, human-to-human transmission (e.g., a health-care worker in Germany who had cared for a patient with a confirmed infection). No reports have been made of sustained, community-wide transmission in affected countries. Consistent with cases in North America, most of the cases reported from other countries have been among young adults, with a median age of 27.1 years (range: 2--62 years, N = 45). The majority of cases in other countries have been uncomplicated, and no deaths have been reported; four patients have been hospitalized.§
Reported by: General Directorate of Epidemiology, Ministry of Health, Mexico; Pan American Health Organization; World Health Organization; Public Health Agency of Canada; Influenza Div, National Center for Immunization and Respiratory Diseases, CDC Influenza Emergency Response Team, CDC.
Editorial Note:
Early surveillance data from this outbreak suggest that the novel influenza A (H1N1) virus has the potential for efficient, rapid spread among countries. Although the illness associated with infection generally seems self-limited and uncomplicated, a substantial number of cases of severe disease and death has been reported in previously healthy young adults and children. Several characteristics of this outbreak appear unusual compared with a typical influenza seasonal outbreak. First, the percentage of patients requiring hospitalization appears to be higher than would be expected during a typical influenza season (3). Second, the age distribution of hospitalizations for novel influenza A (H1N1) virus infection is different than that of hospitalizations for seasonal influenza, which typically occur among children aged <2 years, adults aged ≥65 years, and persons with chronic health conditions (3). In Mexico and the United States, the percentage of patients requiring hospitalization has been particularly high among persons aged 30--44 years.
Two deaths have been reported in the United States, resulting in a preliminary case-fatality rate of 0.2% among patients with laboratory-confirmed disease. However, such case-fatality rates should be viewed with caution. The actual case-fatality rate is difficult to ascertain in a rapidly evolving outbreak because an unknown proportion of currently infected patients might die, denominators might be uncertain because of unreported cases, and groups at high risk for death from seasonal influenza (e.g., older adults and patients with chronic disease) might not yet have been exposed to the novel influenza A (H1N1) virus.
Summertime influenza outbreaks in temperate climates have been reported in closed communities such as prisons, nursing homes, cruise ships, and other settings with close contact (4--8). Such outbreaks typically do not result in community-wide transmission, but they can be important indicators of viruses likely to circulate in the upcoming influenza season (8). The novel influenza A (H1N1) virus has been circulating in North America largely after the peak influenza transmission season. For that reason, the epidemiology and severity of the upcoming influenza season in the southern hemisphere or in the northern hemisphere cannot be predicted. The imminent onset of the season for influenza virus transmission in the southern hemisphere, coupled with detection of confirmed cases in several countries in the southern zone, raise concern that spread of novel influenza A (H1N1) virus might result in large-scale outbreaks during upcoming months. Countries in the southern hemisphere that are entering the influenza season should anticipate outbreaks and enhance surveillance accordingly. Influenza virus can circulate year round in tropical regions; therefore, these countries should maintain enhanced surveillance for novel influenza A (H1N1) virus.
Studies in countries affected by the novel influenza A (H1N1) virus should help guide surveillance, case management, and prevention strategies in countries not yet affected. Key concerns that should be addressed in these studies include assessment of the potential impact on public health; clinical progression of disease, including rates and types of complications for different age and risk groups; and information on virus transmissibility. Assessment of potential disease severity associated with this novel virus will help inform decisions on prevention strategies to slow the spread of infection. Effective control measures will depend on the ability of national governments to quickly gather and share virologic, epidemiologic, and clinical information from multiple sources as new cases appear.
References
- CDC. Swine influenza A (H1N1) infection in two children---southern California, March--April 2009. MMWR 2009;58:400--2.
- CDC. Outbreak of swine-origin influenza A (H1N1) virus infection---Mexico, March--April 2009. MMWR 2009;58:463--6.
- Thompson WW, Shay DK, Weintraub E, Brammer L. Influenza-associated hospitalizations in the United States. JAMA 2004;292:1333--40.
- Uyeki, TM, Zane SB, Bodnar UR, et al. Large summertime influenza A outbreak among tourists in Alaska and the Yukon Territory. Clin Infect Dis 2003;36:1095--102.
- Miller JM, Tam TW, Maloney S, et al. Cruise ships: high risk passengers and the global spread of new influenza viruses. Clin Infect Dis 2000;31:433--8
- Kohn MA, Farley TA, Sundin D, Tapia R, McFarland LM, Arden NH. Three summertime outbreaks of influenza type A. J Infect Dis 1995;172:246--9.
- Gaillat J, Dennetière G, Raffin-Bru E, Valette M, Blanc MC. Summer influenza outbreak in a home for the elderly: application of preventive measures. J Hosp Infect 2008;70:272--7.
- Young LC, Dwyer DE, Harris M, Guse Z, Noel V, Levy MH; Prison Influenza Outbreak Investigation Team. Summer outbreak of respiratory disease in an Australian prison due to an influenza A/Fujian/411/2002(H3N2)-like virus. Epidemiol Infect 2005;133:107--12.
* As of May 6, 2009, the number of laboratory-confirmed cases had increased to 1,112.
† Case definition available at http://www.cdc.gov/h1n1flu/casedef.htm.
§ Additional information is available at http://www.who.int/csr/don/2009_05_06.
FIGURE 1. Number of confirmed (N = 822) and suspected (N = 11,356) cases of novel influenza A (H1N1) virus infection, by date of illness onset --- Mexico, March 11--May 3, 2009
Alternative Text: The figure above shows the 822 confirmed and 11,356 suspected cases of novel influenza A (H1N1) virus infection in Mexico with dates of onset from March 11 through May 3, 2009. Both confirmed and suspected cases rose sharply from April 19 to April 26, then decreased sharply.
FIGURE 2. Number of confirmed (N = 394)* and probable (N = 414)† cases of novel influenza A (H1N1) virus infection with known dates of illness onset --- United States, March 28--May 4, 2009§
* Onset dates available for 394 of 642 confirmed cases.
† Onset dates available for 414 of 845 probable cases.
§ Data reported by CDC as of May 6, 2009.
¶ Case definition available at http://www.cdc.gov/h1n1flu/casedef.htm.
Alternative Text: The figure above shows the 394 confirmed and 414 probable cases of novel influenza A (H1N1) virus infection in the United States with known dates of onset from March 28 through May 4, 2009. Both confirmed and probable cases rose sharply from April 21 to April 27, then decreased sharply
FIGURE 3. Number of confirmed cases (N = 1,882) of novel influenza A (H1N1) virus infection --- worldwide, May 6, 2009*
* Data reported by the World Health Organization as of May 6, 2009.
Alternative Text: The figure is a map of the world showing the 1,882 confirmed cases of novel influenza A (H1N1) virus infection in the United States, by country, as of May 6, 2009.
Use of trade names and commercial sources is for identification only and does not imply endorsement by the U.S. Department of
Health and Human Services. |
All MMWR HTML versions of articles are electronic conversions from typeset documents. This conversion might result in character translation or format errors in the HTML version. Users are referred to the electronic PDF version (http://www.cdc.gov/mmwr) and/or the original MMWR paper copy for printable versions of official text, figures, and tables. An original paper copy of this issue can be obtained from the Superintendent of Documents, U.S. Government Printing Office (GPO), Washington, DC 20402-9371; telephone: (202) 512-1800. Contact GPO for current prices.
**Questions or messages regarding errors in formatting should be addressed to mmwrq@cdc.gov.Date last reviewed: 5/7/2009


